Гестагены
ГЕСТАГЕНЫ (от лат. gesto-ношу и греч. -genes-рождающий, рожденный) (прогестины, гормоны желтого тела), гормоны регулирующие беременность у плацентарных животных. Относятся к С21-стероидам, в основе к-рых лежит скелет прегнана (ф-ла I).
Важнейший прир. гестаген-4-прегнен-3,20-дион, или прогестерон (II; т. пл. 128-130 °С). Его биосинтез осуществляется из холестерина, гл. обр. в надпочечниках, плаценте и желтом теле (см. ур-ние р-ции).
Превращ. 20,22-дигидроксихолестерина в 3
гидрокси-5-прегнен-20-он происходит с участием кофермента никотинамидадениндинуклеотид-фосфата (НАДФ), дегидрирование гидроксильной группы в положении 3, сопровождающееся миграцией двойной связи из положения 5 в положение 4, осуществляется с участием фермента дегидрогеназы и кофермента никотинамидадениндинуклеотида (НАД). Прогестерон, синтезируемый в надпочечниках, по-видимому, не поступает в кровь и используется наряду с прегненолоном (его предшественником в биосинтезе) для биосинтеза кортикоидов. Гормональные ф-ции выполняет прогестерон, синтезируемый в яичниках и семенниках, что позволяет рассматривать гестагены как гормоны местного действия. Биол. роль гестагенов у плацентарных животных состоит в подготовке слизистой матки к имплантации зародыша и сохранении его во время беременности (гестагенное действие). Наряду с эстрогенами и пептидными гормонами (лютеинизирующим и фоликулостимулирующим) гестагены участвуют в регуляции женского полового цикла, причем все эти гормоны взаимно регулируют свой биосинтез. Прогестерон взаимодействует с рецепторами клеток матки, влияет на проницаемость клеточной мембраны для электролитов и пр. Метаболизм гестагенов происходит гл. обр. в печени, где восстанавливаются карбонильные группы и двойная связь, в яичниках, где осуществляется биосинтез из гестагенов эстрогенов, и в надпочечниках.

Среди синтетич. стероидов найдены в-ва, превосходящие по своей активности природные и, в отличие от прогестерона, активные при оральном введении. наиб. известны соед. следующих четырех типов: производные прогестерона, содержащие заместители в положениях 6,16,17 [напр., делалутин (III), мегестролацетат (IV, R = СН3), хлормадинонацетат (V; R = СН3), олгестон ацетонид (VI) и его аналоги с атомом N или S вместо кислородного], производные 19-норпрогестерона (VII), эстрана [напр., норэтиндрон (VIII)] и прегна-В'-пентараны (IX; и = = 1-5). У большинства 20-кетопрегнанов вращение ацетильной группы в положении 17 заторможено и преимущественная конформация имеет торсионный угол С(16)-С(17)--С(20)-О(20) от 10 до 40°.
Нек-рые модифицированные гестагены обнаруживают наряду с гестагенной активностью (или вместо нее) зстрогенное, андрогенное или антиандрогенное действие. К последним относится, напр., ципротерон (см. ф-лу IV в ст. Андрогены). Хим. модификация гестагенов направлена гл. обр. на поиск оральных противозачаточных ср-в и гестагенов с оптимальной физиол. активностью.
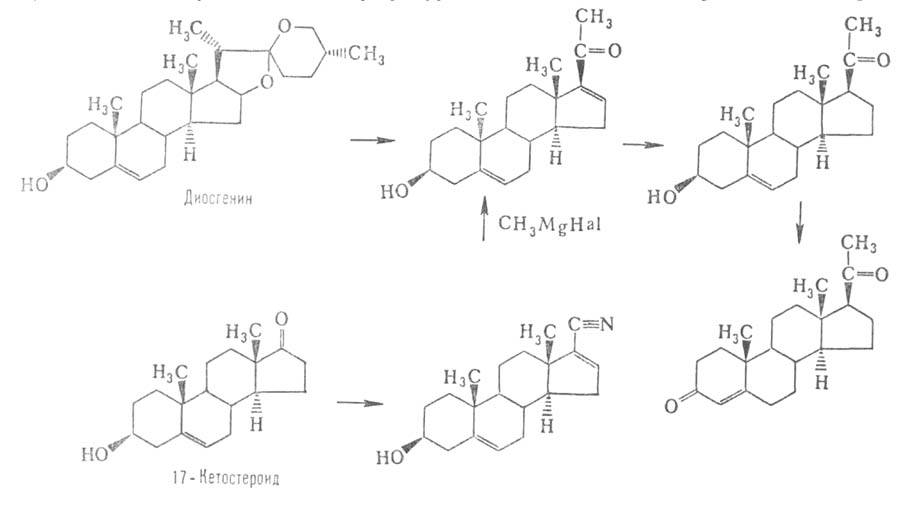
Пром. синтез прогестерона осуществляется из диосгенина (вместо него используют также соласодин) или из 17-кетостероидов (см. ур-ние р-ции). Гестагены применяют при нарушениях овариально-менструального цикла, аменорее, функциональных кровотечениях, для предупреждения выкидышей, а также в качестве противозачаточных ср-в (обычно в комбинации с эстрогенами).
Литература
Савченко О.Н., Степанова Н.А., в кн.: Физиология эндокринной системы, Л., 1979, с. 396-413; Ре trow V., Steroidal oral contraceptive agents, в кн.: Essays in biochemistry, ed. by P. N. Campbell, G.D. Greville, v. 2, L.-N.Y., 1966, p. 117-45; Kamernitzky A. V., "Heterocycles", 1977,№ 7(1), p. 547-91; Kaonernitzky A.V. [a.o.], "Journal of Steroidic Biochemistry", 1982, v. 16, № I, p. 61-67. См. также лит. при ст. Стероиды. А. В. Камерницкий.