Нейролептические средства
НЕЙРОЛЕПТИЧЕСКИЕ СРЕДСТВА (от греч. neuron-жила, нерв и leptos-схватываемый; нейролептики, нейро-плегич. ср-ва, антипсихотич. ср-ва, антишизофренич. ср-ва, "большие транквилизаторы"), лек. в-ва, оказывающие тера-певтич. эффект при психозах и др. психич. расстройствах; относятся к психотропным средствам. На человека и животных нейролептические средства оказывают успокаивающее действие, при увеличении доз вызывают угнетение ф-ций центр. нервной системы без признаков сна или наркоза, обладают противорвотным эффектом, влияют на соматич. сферу (снижают артериальное давление, замедляют дыхание). Вегетативные ф-ции при этом стабилизируются, уменьшается чувство страха, психич. напряжения, беспокойства, тревоги, возникает двигательная (по типу синдрома паркинсонизма) и эмоциональная заторможенность, ощущение безразличия к окружающему (т. наз. нейролептич. синдром). Наряду с общим угнетающим действием нейролептические средства оказывают избират. влияние на психоэмоциональную сферу (транквилизирующий эффект). Наиб. важным для нейролептических средств является их антипсихотич. действие, т.е. способность устранять или ослаблять симптомы психоза (бред, галлюцинации, психич. автоматизмы).
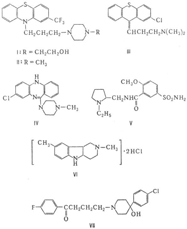
Классификация нейролептических средств основана на их хим. строении с учетом особенностей фармакологич. действия. Выделяют след. группы: 1) фенотиазины-аминазин, фторфеназин (ф-ла 1), трифтазин (II) и др.; 2) тиоксантены, напр. хлорпротиксен (III); 3) трициклич. соед. разного строения, в частности клозапин (IV); 4) сульфамоилбензамиды-сульпирид (V) и др.; 5) производные индола и карболина, напр. карбидин (VI); 6) бутирофеноны-галоперидол (VII), дроперидол (VIII) и др.; 7) дифенилбутилпиперидины, напр. пимозид (IX) и флуспирилен (X); 8) алкалоиды раувольфии (Rauwolfia), в частности резерпин. В хим. строении нейролептических средств имеются общие признаки: 1) наличие группы NH2- или др. акцепторов протонов; 2) присутствие плоского фрагмента, определенным образом ориентированного в пространстве; 3) расстояние между группами, способными образовывать внутримол. водородную связь, составляет 35-65 нм.


Различают типичные и атипичные нейролептические средства. Первые (к к-рым относится, в частности, аминазин) вызывают симптомы умеренного угнетения центр. и периферии, нервной системы: снижение двигат. активности (состояние оцепенения, каталепсии) и мышечного тонуса, понижение кровяного давления, ослабление сосудистой р-ции на адреналин, гистамин и др. биогенные амины. Указанные св-ва у разных соед. выражены неодинаково. Для большинства нейролептиков характерна также способность усиливать действие общих и местных анестетиков, снотворных, болеутоляющих ср-в и избирательно подавлять эффект стимуляторов (фенамина, апоморфина и др.). Атипичные нейролептические средства (клозапин, сулбпирид) не угнетают условные рефлексы, не вызывают состояния двигат. заторможенности.
Механизм действия нейролептических средств связывают с их влиянием на обмен дофамина (с к-рым они имеют конформац. сходство) в мозге, особенно в таких его структурах, как полосатое тело, лимбическая система, кора. Связываясь с дофамино-выми рецепторами, нейролептические средства блокируют их, что приводит к угнетению дофаминергич. передачи в нек-рых системах головного мозга. Блокада дофаминовых рецепторов гипотала-мич. области ведет к увеличению уровня пролактина в крови.
Первоначально нейролептические средства были применены в составе т. наз. литических смесей при подготовке больных к операции с целью создания центр. и периферич. нейровегетативной блокады. В 1952 впервые были описаны антипсихотич. св-ва аминазина, а в 1954-резерпина, что послужило началом широкого применения нейролептических средств в психиатрии. Нейролептические средства находят широкое применение в эксперим. исследованиях в области нейробиологии, физиологии, нейрохимии, психофармакологии, психиатрии, где с их помощью направленно изменяют ф-ции мозга. Кроме того, нейролептические средства используют в качестве успокаивающих и противорвотных препаратов, для лечения зуда, а также в ветеринарии с целью профилактики "транспортного" стресса у с.-х. животных.
Лит.: Раевский К. С., Фармакология нейролептиков, М., 1976; Neuroleptics: neurochemical, behavioral and clinical perspectives, ed. by J. T. Coyle, S. J. Enna, N. Y., 1983. К.С.Раевский.