Анальгетические средства

АНАЛЬГЕТИЧЕСКИЕ СРЕДСТВА (от греч. analgetos -безболезненный) (анальгетики, болеутоляющие ср-ва, обезболивающие ср-ва), лек. в-ва, ослабляющие или устраняющие чувство боли.

Наркотич. анальгетические средства действуют на таламич. и др. центры головного мозга, связываясь с т. наз. опиатными рецепторами, эндогенными лигандами для к-рых являются нейропепиды (энкефалины и эндорфины), обладающие анальгетич. св-вами. Наркотич. анальгетические средства вызывают развитие эйфории и связанное с этим появление при повторном применении болезненного пристрастия (наркомании), а также привыкания, т.е. ослабления действия. Как правило, они угнетают дыхат. центр в мозгу, понижают чувствительность кашлевого центра, в связи с чем нек-рые из них применяются как противокашлевые препараты. Возбуждают центр блуждающего нерва, угнетают секрецию пищеварит. желез, повышают тонус нек-рых гладкомышечных органов (матка, сфинктеры, бронхиальная мускулатура и др.).

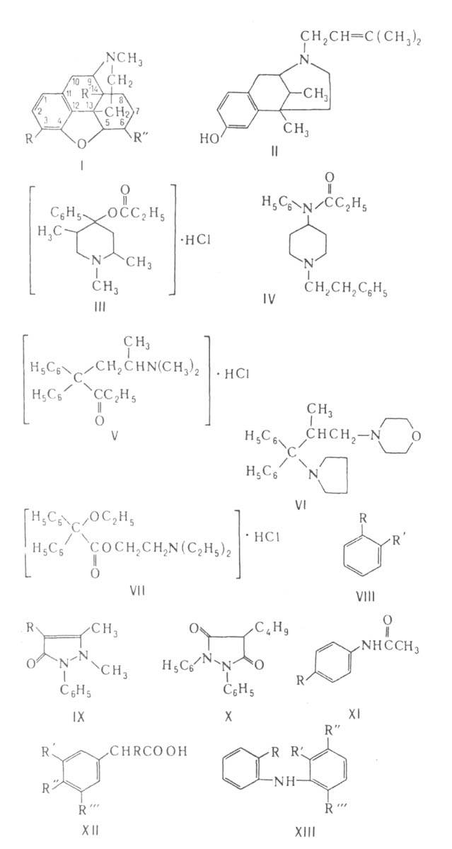
Различают наркотич. анальгетические средства: 1) получаемые из опия природные алкалоиды - морфин (ф-ла I, R = ОН, R' = Н, R" = ОН,1030-2.jpg) и кодеин a, R = ОСН3, R' = Н, R" = ОН,1030-3.jpg); 2) их полусинтетич. аналоги - этилморфин (I, R = ОС2Н5, R' = Н, R" = ОН,1030-4.jpg), текодин (I, R = OCH3, R' = ОН, R" = О), гидрокодон (I, R = OCH3, R' = ОН, R" = О) и др.; 3) синтетич. соед. - пентазоцин (II), промедол (III), фентанил (IV), фенадон (V), декстраморамид (VI), эстоцин (VII) и др.; большинство из этих соед. содержат элементы структуры морфина.

Ненаркотич. анальгетические средства не влияют на дыхат. и кашлевой центры, не вызывают эйфории и наркомании. Их действие связано с подавлением периферич. механизмов боли, и прежде всего с ингибирующим влиянием на фермент циклооксигеназу (простагландин-синтазу), катализирующую превращение арахидоновой к-ты в циклич. пероксиды - промежут. соед., из к-рых образуются простагландины.
1030-5.jpg

По хим. строению ненаркотич. анальгетические средства являются производными салициловой к-ты - ацетилсалициловая к-та, или аспирин (VIII, R = СООН, R' = ОС(О)СН3), салициламид (VIII, R = C(O)NH2, R' = OH); пиразолона и пиразолидина-антипирин (IX, R = СН3), амидопирин [IX, R = = N(CH3)2], анальгин (IX, R=N(CH3)CH2SO3Na), бутадион (X); и-аминофенола - парацетомол (XI, R = ОН), фенацетин (XI, R = OC2H5); фенилуксусной к-ты - ибупрофен [XII, R = R' = R'" = H,R" = СН2СН(СН3)2], кетопрофен(ХП, R = CH3, R' = C(O)C6H5, R" = R'" = H), флюрбипрофен (XII, R = CH3, R' = C6H5, R" = F, R"' = H) и др.; антраниловой к-ты - мефенамовая к-та (XIII, R = СООН, R'= R" = СН3, R'" = Н), флюфенамовая к-та (XIII, R = СООН, R' = R'" = = Н, R" = CF3), диклофенак натрия (вольтарен), или ортофён (XIII, R = CH2COONa, R' = R'" = Cl, R" = Н), и др. Большинство ненаркотич. анальгетических средств оказывает противовоспалит. действие; их используют для лечения ревматоидных и др. воспалит, заболеваний.

Литература

Машковский М. Д., Лекарственные средства, 9 изд., ч. 1, М., 1984, с. 165-202; Шварц Г. Я., "Хим.-фармацевт. ж.", 1980, т. 14, №9, с. 22-41. Г. Я. Шварц.