Противовоспалительные средства
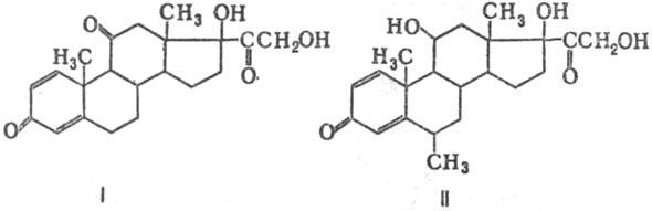
ПРОТИВОВОСПАЛИТЕЛЬНЫЕ СРЕДСТВА, лек. в-ва, подавляющие проявления воспалит. процессов. Различия в хим. строении и механизмах действия обусловливают деление противовоспалительных средств на стероидные и нестероидные ср-ва. Стероидные противовоспалительные средства по хим. строению относятся к 11,17-дигидроксистероидам. Наряду с выделенными из коры надпочечников кортизолом (гидрокортизоном) и кортизоном в эту группу входит ряд их синтетич. аналогов и производных, в частности преднизолон и триамцинолон (см. Кортикоиды), преднизон (декортин, пронизон, ф-ла I), метилпреднизолон (урбазон, II), дексаме-тазон. Эти в-ва высокоактивны; они обладают наряду с противовоспалительным иммунодепрессивным и противо-аллергич. действием. Кроме того, они стимулируют накопление гликогена в печени, активируют анаболич. и катабо-лич. процессы, стимулируют метилирование адреналина, увеличивают канальцевый транспорт Na+ в почках и др. Для наружной терапии воспалит. и аллергич. заболеваний используют мази на основе фторсодержащих в-в, к-рые меньше всасываются через кожу.

Нестероидные противовоспалительные средства широко применяют для лечения воспалительных и, прежде всего, ревматич. заболеваний. Большинство из них-производные карбоновых к-т (в частности, салициловой, антраниловой, индолилуксусной), а также пи-разолона и пиразолидина: ацетилсалициловая кислота, амидопирин и анальгин (см. Аналъгетические средства), бута-дион, ибупрофен, диклофенак натрия, индометацин (метин-дол, индацид, III), мефенамовая к-та (понстил, IV), флюр-бипрофен (V), напроксен (напросин, VI), кетопрофен (про-фенид, VII), пироксикам (пацил, VIII) и др. Эти в-ва обладают сходным спектром фармакологич. действия, вызывают противовоспалит., анальгезирующий и жаропонижающий эффекты. Механизм их действия связан в значит. степени с понижением активности ферментного комплекса, осуществляющего превращение арахидоновой к-ты в корот-коживущие пероксиды, из к-рых образуются эйкозаноиды (простагландины и др.), участвующие в патогенезе воспаления. Кроме того, нестероидные противовоспалительные средства препятствуют высвобождению лизосомальных ферментов, нарушают окислит. фосфорилирование в очаге воспаления и т.п.






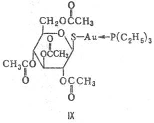
Противовоспалительные средства включают также препараты разного механизма действия, к-рый в большинстве случаев не установлен. К этой группе относят, в частности, пеницилламин, золотосодержащие в-ва-кризанол AuSCH2CH(OH)CH2SO3H, ауротио-яблочную к-ту AuSCH(COOH)CH(OH)CH2COOH, aypa-нофин (IX), а также антималярийные в-ва (напр., хингамин, или делагил, X), иммуномодулирующие средства (левамцзол)и цитостатики. Последние включают циклофосфан, хлор-бутин и 6-меркаптопурин (см. Противоопухолевые средства)и др. Характерная особенность этой группы противовоспалительных средств -медленное развитие лечебного действия, но при этом глубокое подавление проявлений заболевания, длительное сохранение терапевтич. эффекта.


Лит.: Тринус Ф. П., Мохорт Н. А., Клебанов Б. М., Нестероидные противовоспалительные средства, К., 1975; Шварц Г. Я., "Хим.-фармацевт. ж.", 1980, т. 14, № 9, с. 22-41; Сергеев П. В., Стероидные гормоны, М., 1984; Насонова В. А., Сигидин Я. А., Патогенетическая терапия ревматических заболеваний, М., 1985; Координационные соединения металлов в медицине, К., 1986; Лекарственная терапия воспалительного процесса, М., 1988.
Г. Я. Шварц.