Симпатолитические средства
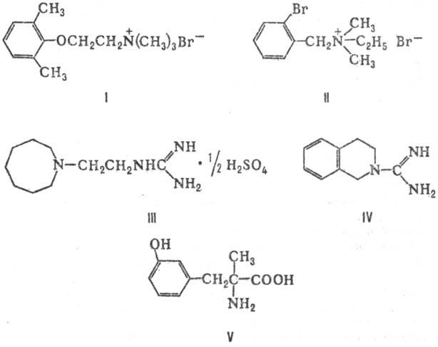
СИМПАТОЛИТИЧЕСКИЕ СРЕДСТВА, лек. в-ва, тормозящие передачу нервного возбуждения с адренергич. нервных волокон на исполнит. орган (сердце, сосуды и др.). К симпатолитическим средствам относятся: Г) четвертичные аммониевые основания, напр. ксилохолин (ТМ 10, ф-ла I), орнид (бретилий, II); 2) производные гуанидина - октадин (гуанетидин, исмелин, III), бетанидин (эсбатал) С6Н5CH2NHC(NHCH3) = NCH3, дебризохин (IV); 3) алкалоиды раувольфии (Rauwolfia) семейства кутровых (Аросупасеае), в частности резерпин; 4) a-метилир. ароматич. аминокислоты, напр. a-метил-м-ти-розин (V). Для строения нек-рых синтетических симпатолитических средств характерно наличие в молекуле сильноосновной группировки (гуанидиновой, четвертичного атома азота), связанной этиленовой цепью или метиленовым звеном с карбо- или гетероциклом.

Симпатолитические средства тормозят ф-цию адренергич. нейронов, уменьшая кол-во нейромедиатора норадреналина вследствие нарушения его синтеза (из дофамина), накопления (сохранения в депо) или высвобождения из нервных окончаний в синап-тич. щель под действием нервного импульса.
Симпатолитические средства, содержащие четвертичный атом азота, нарушают проницаемость пресинаптич. мембраны для ионов Са2+, к-рые необходимы для высвобождения норадреналина из адренергич. окончаний, а также блокируют обратный захват норадреналина в нервные окончания. Производные гуанидина поступают в адренергич. нейроны с помощью того же мембранного транспортного механизма, к-рым захватывается норадреналин. Накопление этих симпатолитических средств в нервных окончаниях сопровождается вытеснением из них норадреналина и его разрушением. Истощение запасов норадреналина приводит к угнетению ф-ции адренергич. нервов. Блокирующий эффект производных гуанидина частично объясняют также нарушением проницаемости мембраны для ионов С2+, приводящим к торможению импульсного высвобождения но-радреналина. Резерпин и др. алкалоиды раувольфии блокируют транспортную систему, обеспечивающую прохождение дофамина и норадреналина через мембрану синаптич. везикул внутри нейрона. Эти нейромедиаторы разрушаются моноаминоксидазой в цитоплазме и не поступают в везикулы; в результате затрудняется синтез норадреналина и опустошаются его запасы.
Симпатолитические средства из группы a-метилированных аминокислот, ингиби-руя ферменты дофа-декарбоксилазу и дофаминоксидазу, нарушают синтез норадреналина. Кроме того, под влиянием этих же ферментов они сами превращаются в a-метилированные моноамины (в частности, a-метилнорадреналин) и выполняют роль "ложных медиаторов", к-рые накапливаются в депо вместо норадреналина и, выделяясь в ответ на нервный импульс в синаптич. щель, оказывают на исполнит. орган менее активное действие, чем истинный медиатор. "Ложные медиаторы" ингибируют также обратный захват норадреналина нервными окончаниями.
Вследствие ослабления влияния симпатич. нервной системы на сердечно-сосудистую систему, вызываемого симпатолитическими средствами, сердце сокращается реже и понижается артериальное давление. Резерпин и орнид обладают также антиаритмич. св-вами. Симпатолитические средства применяют при артериальной гипертонии и аритмиях сердца. Симпатолитические средства могут вызывать побочные явления - брадикардию, ортостатич. коллапс, усиление моторики и секреции желудочно-кишечного тракта и др.
Лит.: Boura A.L.A., Green A. F., в кн.: Handbook of hypertension, v. 3, Amst-N.Y.-Oxf., 1984, p. 194-238. Б. А. Медведев.