Гипотензивные средства
ГИПОТЕНЗИВНЫЕ СРЕДСТВА (от греч. hypo-под, ниже и лат. tensio- напряжение, давление), лек. в-ва, понижающие артериальное давление при артериальной гипертонии. Диуретические (мочегонные) гипотензивные средства способствуют выведению из организма Na +, Cl- и Н2О. К ним относятся дихлотиазид, триамтерен (ф-ла I), фуросемид (II) и др. 
Нейротропные гипотензивные средства понижают давление вследствие уменьшения тонуса симпатич. нервной системы в связи с центр. действием (напр., клофелин, ф-ла III, гуанфацин, ф-ла IV), с центр. и периферич. действием (напр., метилдофа, ф-ла V), с прерыванием проведения нервных импульсов в симпатич. ганглиях (напр., бензогексонип), с нарушением выделения медиатора из адренергич. нервных окончаний (напр., октадин, ф-ла VI, резерпин, ф-ла VII), с уменьшением чувствительности
и
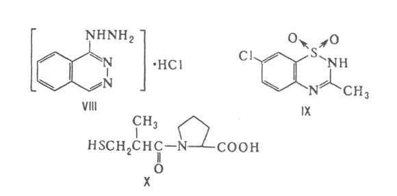
-рецепторов гладкой мускулатуры сосудов к адренергич. медиатору (празозин, анаприлин и др.; см. Адреноблокирующие средства). Под влиянием нейротропных гипотензивных средств расширяются сосуды и уменьшается интенсивность сердечных сокращений. Миотропные гипотензивные средства расслабляют гладкую мускулатуру сосудов. К ним относятся, напр., апрессин (VIII) и диазоксид (IX), расширяющие артериолы, нитропруссид натрия Na2[Fe(CN)5NO], расширяющий артериолы и венулы.
Понижение давления возможно также в результате ингибирования фермента пептидилдипептидазы (кининазы-Н), к-рый катализирует превращение неактивного декапептида ангиотензина-I в сильный прессорный октапептид ангиотензин-II и инактивирует брадикинин, расширяющий сосуды. К таким ингибиторам относятся, напр., тепротид-5-Oxo-Pro-Trp-Pro-Arg-Pro-Gln-iso-Leu-Pro-OH (буквенные обозначения см. в ст. Аминокислоты), каптоприл (X).
Литература
Pharmacology of antihypertensive drugs, ed. by A. Scriabine, N.Y., 1980. Б. А. Медведев.