Адреноблокирующие средства
АДРЕНОБЛОКИРУЮЩИЕ СРЕДСТВА (адренолитич. ср-ва), лек. в-ва, блокирующие рецепторы, чувствительные к норадреналину и адреналину (адренорецепторы). В зависимости от того, на какие рецепторы (
или
) оказывают преобладающее влияние адреноблокирующие средства, их делят на три группы.
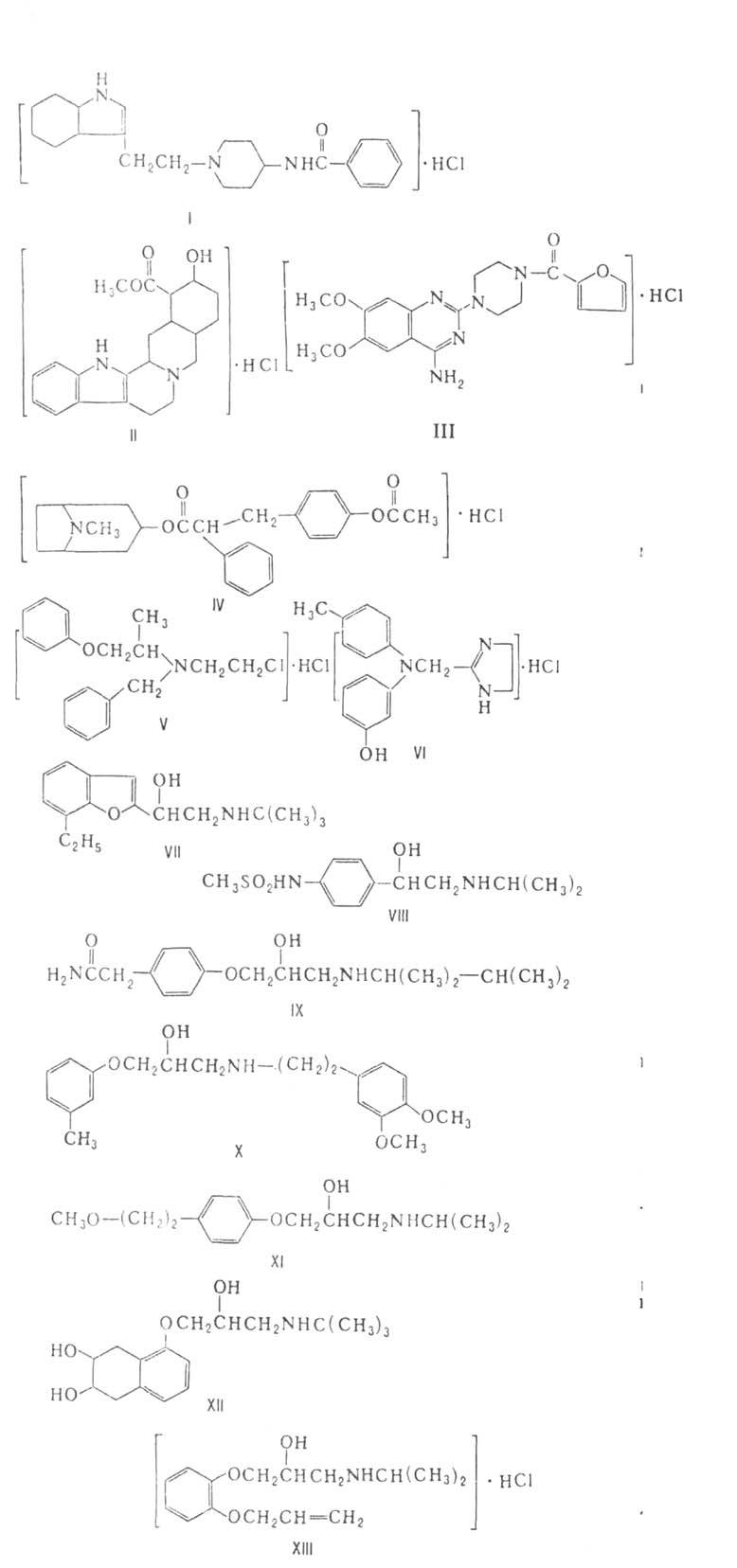
-Адреноблокирующие средства расширяют сосуды, увеличивают периферич. кро-воток и снижают артериальное давление. К ним относятся индорамин (I), иохимбин (II), празозин (III), тропафен (IV), феноксибензамин (V), фентоламин (VI). Для
-Адреноблокирующих средств характерно присутствие в молекуле третичного атома N. Замена его на вторичный атом N или на аммониевую группу приводит к утрате
-адреноблокирующей активности. Производные
-галогеналкиламинов образуют с
-адренорецепторами ковалентные связи и блокируют их необратимо.
-Адреноблокирующие средства применяют гл. обр. как сосудорасширяющие ср-ва, напр. при лечении облитерирующего эндартериита.
-Адреноблокирующие средства уменьшают силу и частоту сокращения сердца и снижают его автоматизм. Большинство из них относится к производным фенилэтаноламина (напр., анаприлин, буфуралол-VII, соталол-VIII) и гидроксипропаноламина (атенолол-IX, бевантолол - X, метопролол-XI, надолол-ХП, окспренолол-XIII, тимолол-XIV и др.).
-Адреноблокирующие средства влияют одновременно на рецепторы разной локализации (в сердце, бронхах, сосудах), однако у нек-рых препаратов более выражено влияние на сердце (т. наз. кардиоселективные
-адреноблокирующие средства). Наиб. важная особенность их строения - наличие заместителя в пара-положении в ароматич. кольце или замещенного ароматич. кольца, связанного двумя метиленовыми группами с N. Изопропильная и трет-бутильная группы в боковой цепи играют важную роль в обеспечении сродства молекулы к рецептору.
-Адреноблокирующие средства применяют для лечения стенокардии, гипертонич. болезни и аритмии сердца.
К
-адреноблокирующим средствам относится лабеталол, к-рый применяют для купирования гипертензивных кризов и для длит. лечения гипертонич. болезни.
Литература
ЗабировИ.Ш., ХаунинаР.А., Фармакология средств, блокирующих адренэргическую медиацию, Фр., 1964; ЮжаковС.Д., "Хим.-фарм. ж.", 1980, т. 14, № 3, с. 18-33; Barrett A.M., в кн.: Drug design, ed. by EJ. Ariens, v. 3, N.Y.-L., 1972, p. 205: Clark B.J., в кн.: Beta-adrenoceptor blocking agents, ed. by P.R. Saxena, R.P. Forsyth, Amst., 1976. С.Д. Южаков.