Линкомицин
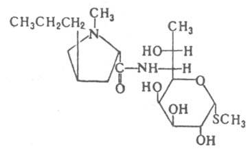
ЛИНКОМИЦИН, антибиотик, продуцируемый Streptomyces lincolnensis, мол. м. 406,54; бесцв. кристаллы со слабоосновными св-вами, р/Ка 7,6. Получают в виде гидрохлорида из культурального фильтрата последовательной экстракцией бутанолом при рН 10,0, водой при рН 2,0 и СН2Сl2 при рН 10,0 с послед. упариванием и осаждением соли из кислых водных р-ров. Гидрохлорид линкомицина - бесцв. кристаллы, т. пл. 139-142°С; [a]D20 +137° (вода, 1,0%); раств. в воде, этаноле, метаноле; в сухом виде устойчив, при 70 °С сохраняет активность в течение 6 мес. Активен в отношении большинства грамположит. кокков (стафилококки, стрептококки, пневмококки), нек-рых грамположит. палочек (Bacillus anthracis), микоплазм, гемофильной палочки, бактероидов.
Механизм антимикробного действия связан с подавлением синтеза белка, блокирования образования полисомальных функциональных комплексов и трансляции связанных с транспортной РНК аминокислот. ЛД50 для крыс более 4000 мг/кг при пероральном введении и 1000 мг/кг - при подкожном. В СССР выпускаются разл. лек. формы линкомицина.
Литература
Кожыбски Т., Ковшык-Гиндифер 3.. Курылович В., Антибиотики. Происхождение, природа и свойства, пер. с польск., т. 1-2, Варшава, 1969. с. 117-121; Навашин С. М., Фомина И. П., Рациональная ангибиогикотерапия. Справочник, 4 изд., М., 1982, с. 146-49. С. Е. Есипов.
*Подобраны с помощью LLM, верифицированы, но возможны неточности.
Синонимы/примеры:*
Линкоцин; Линкомицина гидрохлорид; Цилимицин
*подобраны ИИ, возможны неточности
Ещё по теме
Линкомицин — применение и противопоказания
Линкомицина гидрохлорид — характеристики и применение
Клиндамицин — описание, применение, формы выпуска
Фитобактериомицин — свойства и применение
Блеомицин — свойства и применение противоопухолевого антибиотика
Левомицетин
Олеандомицин — свойства и токсическое действие
Ломацин — инструкция и применение
Левомицетин — инструкция по применению и особенности препарата
L-Пеницилламин — свойства и применение
Левомицетин — инструкция по применению
Свойства L-лейцина
Флоримицин — свойства и применение
Бензилпенициллина калиевая соль — особенности и применение
Полимицин — свойства и применение
Дибиомицин — характеристики и применение
Левовинизоль — инструкция по применению и особенности препарата
Дополнения к описанию линкомицина: