Магнезoны
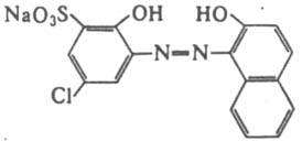
МАГНЕЗOНЫ, группа реагентов для определения металлов; содержат азогруппу. Магнезон ХС [натриевая соль 2-гидрокси-5-хлор-3-(2-гидрокси-1-нафтилазо)бензолсульфокислоты, магнезон ИРЕА]; кирпично-красные кристаллы; раств. в воде, спиртах, ацетоне. Реагент для спектрофотометрич. определения в водно-ацетоновой среде Mg при 610 нм и рН 10 (комплекс ярко-красного цвета), Zn при 620 нм и рН 9-10 (переход окраски от синей к фиолетовой), Сu при 560 нм и рН 2 (lмакс комплекса соотв. 530, 550 и 540 нм; e комплекса соотв. 1,96.104, 1,3.104 и 2,2.104),
Мо при 560-580 нм в водной H2SO4 (lмакс комплекса 465 нм); пределы обнаружения ~ 12 мкг в 5 мл р-ра. Мeталлохромный индикатор для титриметрич. определения Mg при рН 10-11, Са и Cd при рН 11,5, Sr и Ва при рН 12,5 (переход окраски от красной к синей). Магнезон I [4-(n-нитрофенилазо)резорцин]; темно-красные кристаллы; т. пл. 195-200 °С (с разл.); не раств. в воде, плохо - в этаноле, ацетоне, толуоле, СН3СООН, раств. в щелочах. Кислотно-основной индикатор (при рН 11,5-13,2 переход окраски от лимонно-желтой к темно-сиреневой); реагент для обнаружения Mg (по способу адсорбции); предел обнаружения 0,5 мкг в 1 капле р-ра. Применяется также для получения индикаторных бумаг. Для обнаружения Mg используют также магнезон II [4-(n-нитрофенилазо)-1-нафтол]; оранжево-красные кристаллы; т. пл. 270-275 °С (с разл.); предел обнаружения 0,5 мкг Mg в 1 капле р-ра.
Литература
Никитина Е. И., Андрианова Н. Н.. в кн.: Физико-химические методы анализа металлов и сплавов. Материалы научно-технической конференции, М., 1969, с. 54-64; Труды Новочеркасского политехнического института, в. 220. Новочеркасск, 1969, с. 108; Химические реактивы и препараты, М., 1969 (Труды ИРЕА. в. 31); то же. М., 1973 (там же, в. 35); "Заводская лаборатория", 1971. т. 37. № 1. с. 28-29; 1973, т. 39. № 4. с. 409. Т. В. Чернышева.
Синонимы/примеры:*
Магнезон; Магнезон I; Магнезон II
*подобраны ИИ, возможны неточности
Ещё по теме
Магния оксид — свойства и характеристики
Магния нитрид — характеристики и применение
Магнийорганические соединения и их применение в химии
Магния бромид гексагидрат — характеристики и применение
Магния нитрат гексагидрат — свойства и применение
Магния бромид — описание и свойства
Магний — свойства, получение и применение
Магния хлорид — характеристики и особенности
Марганец (II) бромид — свойства и характеристики
Магния карбонат основной — свойства и применение
Магний — свойства и характеристики
Магнезит — описание и свойства