Витамин E

ВИТАМИН Е, группа прир. соед. - производных токола (см. ф-лу). Светло-желтые вязкие жидкости (см. табл.); не раств. в воде, хорошо раств. в хлороформе, эфире, гексане, петролейном эфире, хуже - в ацетоне и этаноле. Р-ры интенсивно флуоресцируют (максимум возбуждения 295 нм, излучения - 320-340 нм). Устойчивы к действию минер. к-т и р-ров щелочей. При взаимод. с О2 и др. окислителями превращ. в хиноны (значительно более стойки к окислению сложные эфиры витамина). Разлагаются при облучении УФ-светом. В атмосфере инертного газа стабильны при нагр. до 100°С.

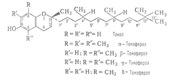
Важнейшие соед. группы витамина Е: токоферолы и токотриенолы; последние значительно менее активны, чем токоферолы, и отличаются от них тремя двойными связями в положениях 3', 7' и 11'. Все асимметрич. центры молекул прир. токоферолов (положения 2, 4' и 8') имеют R-конфигурацию.
1075-32.jpg

Витамин Е содержится гл. обр. в липопротеиновых мембранах клеток и субклеточных органелл, где локализован благодаря межмол. взаимод. с ненасыщ. жирными к-тами. Его биол. активность основана на способности образовывать устойчивые своб. радикалы в результате отщепления атома Н от гидроксильной группы. Эти радикалы могут вступать во взаимод. со своб. радикалами, участвующими в образовании орг. пероксидов. Тем самым витамин Е предотвращает окисление ненасыщ. липидов и предохраняет от разрушения биол. мембраны. При недостатке витамина Е возникают бесплодие, мышечная дистрофия, некроз печени и др.

СВОЙСТВА ТОКОФЕРОЛОВ И НЕКОТОРЫХ ИХ ЭФИРОВ
1075-33.jpg

Биол. активность D,L1075-34.jpgтокоферола составляет 40% от активности D1075-35.jpgтокоферола, а1075-36.jpg,1075-37.jpg и1075-38.jpgтокоферолов — соотв. 20-30, 10 и 1%. Из пищ. продуктов витамином Е наиб. богаты растит. масла, особенно кукурузное (40-80 мг в 100 г), подсолнечное (40-70 мг), хлопковое (50-100 мг) и масло из пшеничных зародышей (100-400 мг).

Витамин Е выделяют из растит. масел.1075-39.jpgTокоферол синтезируют конденсацией метилзамещенных и-гидрохинона с фитолом СН3[СН(СН3)(СН2)3]3С(СН3)=СНСН2ОН или изофитолом СН3[СН(СН3)(СН2)з]СОН(СН3)СН==СН2. Применяют витамин Е в виде1075-40.jpgтокоферилацетата для лечения мышечной дистрофии, при угрозе выкидыша, нарушении ф-ций половых желез и др., а также как антиоксидант пищ. продуктов. Рекомендуемая норма потребления, принятая в СССР, 15 МЕ/сут (1 ME соответствует активности 1 мг D,L1075-41.jpgтокоферилацетата).

Литература

Березовский В. М., Химия витаминов, 2 изд., М., 1973; ШатерниковВ. А., в кн.: Витамины, М., 1974, с. 125-50; Спиричев В. Б., Матусис И. И., Бронштейн Л. М., в кн.: Экспериментальная витаминология, Минск, 1979, с. 18-57; Isles О, Brubacher О., Vitamine I: Fettlosliche Vitamine, Stuttg.-N.Y., 1982, S. 126-51. В. Б. Спиричев.

Синонимы/примеры:* Токоферол; Эвион; Эфаксол
*подобраны ИИ, возможны неточности