Аймалин

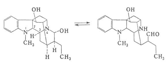
АЙМАЛИН (раувольфин, неоаймалин, раувонин, тахмалин), мол. м. 326,44, алкалоид, содержащийся в нек-рых видах растений рода раувольфия (Rauwolfia) семейства кутровых (Аросупасеае). Бесцв. кристаллы, т. пл. 205-207°С, [1011-7.jpg]20D+144° (хлороформ); плохо раств. в воде (6,73 ммоль/л). Основание средней силы, протонируется по атому N4; рКа 8,32; при рН 7,3 и 22°С ионизован на 90,3%. Образует моногидрохлорид (т. пл. 140°С), иодметилат (229 °С). Проявляет св-ва аминоспиртов и аминоальдегидов, т.к. существует в виде двух таутомеров. Биогенетич. предшественник аймалина - триптофан.

В пром-сти аймалин выделяют из корней раувольфии змеиной (Rauwolfia serpentina). Определяют его методом тонкослойной хроматографии.
1011-8.jpg

Аймалин снижает артериальное давление, замедляет частоту сердечных сокращений, обладает антихолинэстеразным действием. Применяется как антиаритмич. лек. ср-во. ЛД50 130 мг/кг (белые мыши, внутрибрюшинно).

Литература

Садритдинов Ф. С., Курмуков А. Г., Фармакология растительных алкалоидов и их применение в медицине, Таш., 1980, с. 20-23; Taylor W. I., в кн.: Alkaloids, ed. by R.H.F. Manske, v. 8, N.Y., 1965, p. 785-814, v. 11, N.Y., 1968, p. 41-72. А.А.Ибрагимов.

Комментарии*

Дополнения к описанию аймалина:

  • Механизм антиаритмического действия: Относится к антиаритмическим препаратам I класса (блокаторам натриевых каналов). Он замедляет проведение электрического импульса в сердечной мышце, особенно в атриовентрикулярном узле, и удлиняет эффективный рефрактерный период.
  • Клиническое применение: Используется для купирования и профилактики наджелудочковых тахиаритмий, таких как пароксизмальная суправентрикулярная тахикардия и фибрилляция предсердий.
  • Современный статус: В настоящее время применяется редко из-за появления более эффективных и безопасных антиаритмических средств. Его использование ограничено из-за потенциальных проаритмических эффектов (способности вызывать новые аритмии) и других побочных действий.
  • Побочные эффекты: Может вызывать гипотонию, брадикардию, головокружение, тошноту, рвоту и гепатотоксичность.
*Подобраны с помощью LLM, верифицированы, но возможны неточности.
Синонимы/примеры:* Аймалин; Раувольфин
*подобраны ИИ, возможны неточности