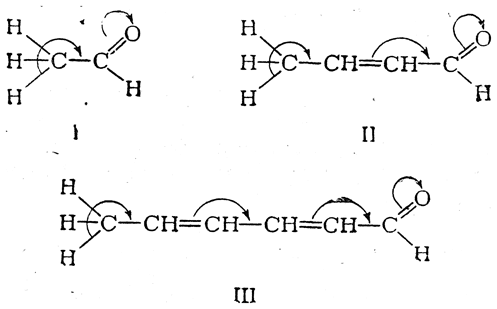
Винилогия
Замечательной особенностью взаимного влияния атомов является то, что это влияние без значительного ослабевания передается через виниленовую группу —СН=СН— или через ряд таких групп, т. е. через цепь сопряженных связей —СН=СН—СН=СН—. Такая передача взаимного влияния осуществляется настолько полно, что различие во взаимном влиянии атомов, непосредственно связанных друг с другом и разделенных системой сопряженных связей, в ряде случаев в известной мере стирается, как это видно, например, из сравнения химических свойств уксусного (I), кротонового (II) и сорбинового (III) альдегидов:

В первом из этих альдегидов метильная группа связана с карбонильной группой непосредственно, а в остальных двух отделена от нее цепями углеродных атомов. Несмотря на это, метильные группы всех трех альдегидов подвергаются влиянию карбонильной группы совершенно аналогично. Так, например, ее водородные атомы «подвижны», и альдегиды II и III, подобно альдегиду I, способны к альдольной конденсации.
Эфиры сорбиновой кислоты СН3СН—СН=СН=CHCOOR так же способны к конденсации за счет ε-водородных атомов, как и эфиры уксусной кислоты СН3—COOR за счет α-водородных атомов.
Это широко распространенное в органической химии явление, обычно называемое винилогией, заключается в том, что система ∙∙∙ —СН=СН—СН=СН— ∙∙∙ ведет себя не так, как сумма независимых групп —СН=СН—, а как единое целое, эффективно передающее взаимное влияние атомов. Вещества типа А—(СН=СН)n—В, где n=1, 2, 3, 4 и т. д., называются винилогами вещества А—В. Вообще каждый член этого ряда является винилогом всех входящих в него соединений, как с большим, так и с меньшим значением п.