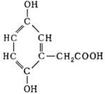
Гомогентизиновая кислота
Гомогентизиновая кислота, промежуточный продукт распада в организме животных и человека циклических аминокислот — фенилаланина и тирозина.

При наследственном заболевании, выражающемся в нарушении обмена этих аминокислот, — алкаптонурии — из-за отсутствия оксидазы гомогентизиновой кислоты процесс останавливается на стадии образования гомогентизиновой кислоты, которая выводится с мочой.
*Подобраны с помощью LLM, верифицированы, но возможны неточности.
Синонимы/примеры:*
2,5-дигидроксифенилуксусная кислота; Алкаптон
*подобраны ИИ, возможны неточности
Ещё по теме
Гентизиновая кислота — свойства и характеристики
Глутаминовая кислота — свойства и применение
Глутаминовая кислота — свойства и применение
Цинхомероновая кислота — свойства и реакции
Парааминобензойная кислота — роль и применение
Глюкуроновая кислота — свойства и значение
Гамма-аминомасляная кислота — характеристики и свойства
Глицин — свойства и получение аминоуксусной кислоты
Глицериновая кислота — свойства и получение
Глутаминовая кислота — свойства и применение
Дополнения к описанию: