Гидроцианирование

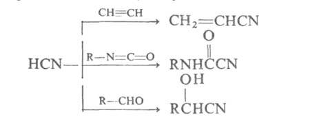
ГИДРОЦИАНИРОВАНИЕ, присоединение HCN к ненасыщенным соед. с образованием нитрилов. В р-цию вступают в-ва, содержащие связь С=С, С1112-21.jpgС или C=N (олефины, ацетиленовые углеводороды, оксимы, изоцианаты и др.), а также карбонильные соед., напр.:
1112-22.jpg

В случае соед., содержащих неполяризованную углерод-углеродную кратную связь, процесс проводят в газовой или жидкой фазе в присут. катализаторов. Напр., гидроцианирование ацетилена осуществляют с использованием в кач-ве катализатора CuCl в водном р-ре НС1 и NH4C1. В этом случае на промежут. стадии образуется1112-23.jpgкомплекс I:
1112-24.jpg

Р-ция HCN с в-вами, содержащими поляризованную кратную связь, ускоряется при действии оснований, к-рые способствуют образованию иона CN ~ При этом в случае в-в, содержащих кратную связь между атомами С или связь C=N, р-ция осуществляется с образованием промежут. карбаниона, а в случае карбонильных соед. - аниона циангидрина, напр.:
1112-25.jpg

Процесс, близкий к гидроцианированию,-расщепление оксиранового цикла под действием HCN:
1112-26.jpg

Гидроцианирование используется для пром. произ-ва акрилонитрила, адиподинитрила, ацетонциангидрина, а также1112-27.jpgаминокислот из циангидринов.

Литература

Темкин О. Н., Флид Р. М., Каталитические превращения ацетиленовых соединений в растворах комплексов металлов, М., 1968; Зильберман Е. Н., Реакции нитрилов, М., 1972; Накамура А., Цуцуи М., Принципы и применение гомогенного катализа, пер. с англ., М., 1983, с. 203-29. С. К. Смирнов.

Синонимы/примеры:* Цианистый водород; синильная кислота
*подобраны ИИ, возможны неточности