Гомогенный катализ

ГОМОГЕННЫЙ КАТАЛИЗ, ускорение хим. р-ции в присутствии катализатора, к-рый находится в одной фазе с исходными реагентами (субстратами) в газовой фазе или р-ре. При гомогенном катализе, как и при гетерогенном катализе, катализатор в р-ции не расходуется, однако является ее необходимым участником; без катализатора р-ция протекает гораздо медленнее или не идет вовсе.

Механизм гомогенно-каталитических реакций. Можно выделить сравнительно небольшую группу процессов, в к-рых участие катализатора не связано с образованием определенного хим. соед. с субстратом. К таким процессам относится, напр., катализ парамагн. частицами синглет-триплетного превращения карбенов (изменяется электронный спин молекулы) или орто-, пара-превращение Н2 (изменяется ядерный спин). Формально к гомогенному катализу можно отнести газофазные р-ции рекомбинации атомов и простейших радикалов в присут. химически инертных частиц, к-рые, участвуя в тройном соударении, обеспечивают отвод энергии, выделяющейся при образовании хим. связи. Однако в огромном большинстве случаев механизм Т.к., как и гетерог. катализа, включает более или менее сложное хим. превращ. катализатора в р-циях.

Рассмотрим в кач-ве примера гомогенного катализа окислит.-восстановит. некомплементарной р-ции, т.е. такой р-ции, в к-рой число электронов, отдаваемых одной частицей восстановителя и принимаемых одной частицей окислителя, не совпадает. В р-ции 2Се4+ + Tl+ -> 2Се3 + + Tl3+ последовательное одноэлектронное окисление Т1+
1116-70.jpg

затруднено из-за высокого окислит.-восстановит. потенциала пары Т12+/Т1+ (для пары Т13+/Т12+ этот потенциал значительно ниже). В присут. ионов Мп р-ция протекает по многостадийному механизму:
1116-71.jpg

Ионы Мп переводят одноэлектронный перенос в р-циях Мп2+ и Мn3 с Се4 + в двухэлектронный - в р-ции Мn4+ с Т1+ (все р-ции с участием ионов Мп комплементарны). Протекание всех стадий облегчается из-за того, что для пар Мn4+ /Мn3+ и Мn3+ /Мn2+ окислит.-восстановит. потенциалы близки и расположены между значениями этих потенциалов для пар Се4+ /Се3+ и Т13+ /Т1+ .

В радикально-цепных процессах в присут. нек-рых в-в может ускоряться образование радикалов в р-циях зарождения или разветвления цепи. Так, при окислении орг. в-ва RH в присут. ионов Со в небольшой концентрации ускоряется разветвление цепи, а при высокой концентрации этих же ионов-также и развитие цепи. Каталитич. механизм распада гидропероксида включает следующие стадии:
1116-72.jpg

Развитие цепи каталитически ускоряется по схеме:
1116-73.jpg

Эта же р-ция может дополнительно ускоряться в присут. ионов Вr-, к-рые играют роль сокатализатора:
1116-74.jpg

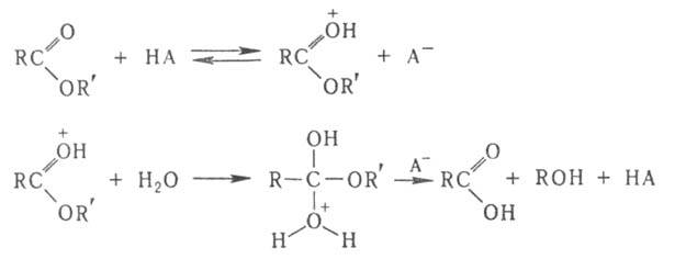
В кислотно-основном гомогенном катализе под действием катализатора обычно усиливаются электроф. или нуклеоф. св-ва молекул реагентов. К-ты и основания, ускоряющие такие р-ции, могут служить катализаторами в недиссоциированной форме (общий кислотно-основной катализ) либо воздействовать на субстрат ионами Н3О+ и ОН- (специфич. кислотно-основной катализ). Напр., при кислотном гидролизе сложных эфиров каталитич. действие к-ты НА связано с протонированием карбонильной группы, что облегчает последующее присоединение воды:
1116-75.jpg

При гетеролитич. присоединении по кратным связям молекулы AD (А-акцепторная, D-донорная часть молекулы) катализатором м. б. более сильный, чем AD, акцептор (электрофил) А или донор (нуклеофил) D. Напр., при гидратировании олефинов к-та Н+ служит катализатором, т. к. облегчает последующее взаимод. с водой:
1116-76.jpg

При присоединении Сl2 или НСl катализатором м. б. ион Сl-:
1116-77.jpg

Апротонные к-ты могут катализировать гетеролитич. р-ции непосредственно или образуя сильную протонную к-ту, если в системе присутствует вода или др. слабая протонная к-та. В р-ции Фриделя - Крафтса (алкилирование ароматич. соед.) катализатором служит АlСl3, усиливающий электроф. св-ва алкильной группы в алкилгалогениде RCl:
1116-78.jpg

Особенно высокой каталитич. активностью в гетеролитич. р-циях обладают т. наз. бифункциональные катализаторы-соед., молекулы к-рых включают как акцепторную, так и донорную группы. Р-ция в этом случае идет через циклич. переходное состояние. Так, 2-гидроксипиридин - хороший катализатор мутаротации глюкозы вследствие одноврем. участия в р-ции донорного атома N и акцепторной группы ОН гидроксипиридина. Активность 2-гидроксипиридина существенно выше, чем эквивалентной смеси пиридина и фенола, взятых в тех же концентрациях. Усиление каталитич. эффекта по сравнению с монофункциональными катализаторами определяется прежде всего энтропийным фактором-уменьшением числа частиц, образующих активиров. комплекс.

В металлокомплексном гомогенном катализе р-ции ускоряются в присут. комплексных соед. Ti, Fe, Cu, Pt и др. переходных металлов, к-рые способны к образованию комплексов с молекулами субстратов. Каталитич. активность м. б. обусловлена след. факторами: 1) пространств.близостью молекул субстратов, входящих как лиганды в координац. сферу металла, 2) ослаблением хим. связей в молекулах субстратов и снижением энергии активации при их разрыве; 3) усилением вследствие электронных эффектов донорных или акцепторных св-в молекул субстратов, входящих в металлокомплекс; 4) снятием запретов по симметрии молекулярных орбиталей благодаря участию d-орбиталей металлов; 5) возможностью многоэлектронных р-ций с использованием d-электронов переходных металлов в некомплементарных окислит.-восстановит. р-циях с субстратами, для к-рых последовательное одноэлектронное окисление или восстановление термодинамически затруднено. Комплексы переходных металлов, кроме того, иногда облегчают образование своб. радикалов, что обеспечивает возможность катализа радикальных и радикально-цепных р-ций. Металлокомплексные соед. катализируют гидрирование, окисление, полимеризацию, карбонилирование олефинов и ацетиленов, фиксацию азота, диспропорционирование олефинов, активацию и разл. р-ции алканов и др. Типичный механизм металлокомплексного гомогенного катализа рассмотрен на примере каталитич. гидрирования олефинов. Он включает стадии окислит. присоединения Н2 (1), образование комплекса с олефином (2), внедрение молекулы олефина по связи М—Н (3), восстановит. отщепление алкана (4):
Механизм металлокомплексного гомогенного катализа

Т. обр., во всех типах гомогенныого катализа катализатор, как правило, обеспечивает новый хим. механизм процесса. Каталитич. р-ции происходят в неск. стадий, в одной из к-рых частица катализатора входит в каталитич. цикл, а в другой выделяется в своб. состоянии, чтобы вновь участвовать в р-ции. В этом смысле гомогенно-каталитич. р-ции подобны цепным; их принципиальное отличие заключается в том, что в цепных р-циях скорость образования продукта больше скорости образования активного центра (скорости инициирования цепи) в v раз (v- длина цепи), тогда как в каталитич. процессах скорость образования активного центра катализатора больше скорости образования продукта или этот активный центр присутствует в системе заранее.

Кинетика гомогенно-каталитич. р-ций определяется их механизмом (см. Каталитических реакций кинетика).

Практическое применение. Гомогенный катализ используют для пром. получения: спиртов-гидратацией олефинов в присут. к-т (H2SO4, H3PO4); нитробензола и др. нитросоединений-нитрованием ароматич. соед. в присут. H2SO4; уксусной к-ты-карбонилированием метанола в присут. комплексов Rh (сокатализатор-HI); терефталевой к-ты-окислением п-ксилола в присут. солей Со; альдегидов - гидроформилиро-ванием олефинов в присут. карбонилов Со; лекарств, напр. L-ДОФА,-энантиоселективным гидрированием аминокислоты в присут. комплекса Rh с хиральными лигандами и др. Многие р-ции с участием металлокомплексных соед. по высокой регио- и стереоселективности приближаются к реакциям ферментативного катализа. Использование принципов действия ферментов позволяет разрабатывать принципиально новые гомогенно-каталитические процессы.

Литература

Гам мет Л., Основы физической органической химии, пер. с англ., М., 1972, с. 407-45; Джен к с В., Катализ в химии и энзимологии, пер. с англ., М., 1972; Литвиненко Л. М., Олейник Н. М., Органические катализаторы и гомогенный катализ, К., 1981; Parshall G. W., Homogeneous catalysis, N.Y., 1980. А. Е. Шилов.