Диффузионный потенциал

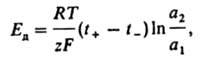
ДИФФУЗИОННЫЙ ПОТЕНЦИАЛ, разность потенциалов на границе двух соприкасающихся р-ров электролитов. Обусловлен тем, что скорости переноса катионов и анионов через границу, вызванного различием их элсктрохим. потенциалов в р-рах 1 и 2, различны. Наличие диффузионного потенциала может вызывать погрешность при измерениях электродного потенциала, поэтому диффузионный потенциал стремятся рассчитать или устранить. Точный расчет невозможен из-за неопределимости коэф. активности ионов, а также отсутствия сведений о распределении концентраций ионов в пограничной зоне между соприкасающимися р-рами. Если в контакте находятся р-ры одного и того же z, z - зарядного электролита (z - число катионов, равное числу анионов) разл. концентраций и можно считать, что числа переноса анионов и катионов, соотв. t+ и t_, не зависят от их активности, а коэф. активности анионов и катионов равны между собой в обоих р-рах, то диффузионный потенциал
081_100-69.jpg
где a1 и а2 - средние активности ионов в р-рах 1 и 2, Т - абс. т-ра, R - газовая постоянная, F - постоянная Фарадея. Имеются и др. приближенные ф-лы для определения диффузионного потенциала. Снизить диффузионный потенциал до малой величины во мн. случаях можно, разделив р-ры 1 и 2 "солевым мостиком" из концентрир. р-ра соли, катионы и анионы к-рой имеют примерно равные числа переноса (КСl, NH4NO3 и др.).
Литература
Феттер К., Электрохимическая кинетика, пер. с нем., М., 1967, с. 70-76; Ротинян А. Л., Тихонов К. И., Шошина И. А., Теоретическая электрохимия. Л., 1981, с. 131-35. А. Д. Давыдов.

Ещё по теме
Расчёт константы диссоциации поверхностных групп
Электродный потенциал — основы и применение
Электрокинетический потенциал и влияние электролитов
Растворы неэлектролитов — свойства и термодинамика
Механизмы диссоциации молекул в полярных растворителях
Электрическая составляющая расклинивающего давления
Электродный потенциал — основные понятия и измерения
Потенциал нулевого заряда — определение и методы измерения
Электролитная коагуляция и устойчивость дисперсных систем
Двойной ионный слой — строение и влияние на технологии
Потенциал ионизации — основные понятия и методы измерения
Электрокинетический потенциал и его роль в дисперсных системах
Электролитическая диссоциация — основы и применение
Электропроводность электролитов — механизмы и факторы влияния
Электрохимический потенциал — определение и влияние на равновесие