Индиго
ИНДИГО (исп. indigo, через лат. indicum, от греч. indikos -индийский) [бис-(3-оксо-2-индолинилиден). 2,2'-бис-индолиндиго], ф-ла I, темно-синие с медным отливом кристаллы; т. пл. 390-392 °С (с разл.); раств. в анилине, нитробензоле, хлороформе, ледяной уксусной к-те, конц. H2SO4, не раств. в воде, растворах щелочей, этаноле, диэтиловом эфире. Индиго - один из древнейших натуральных орг. красителей, имевший очень большое практич. значение. Получали его гл. обр. из тропич. растений рода Indigofera, а также из др. индигоносов, произрастающих в более северных широтах. С появлением в кон. 19 в. более дешевого и чистого синтетич. индиго натуральный краситель утратил свое значение.
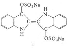
Осн. пром. способ получения индиго - взаимод. анилина с монохлоруксусной к-той при т-ре ок. 100°С в присут. Fe(OH)2, плавление при 200 °С образовавшегося N-фенилглицина (в виде К-соли) в смеси с NaOH, КОН и NaNH2 и окисление под действием О2 воздуха образовавшегося индоксилата Na. Индиго легко восстанавливается (напр., Na2S2O4 в присут. щелочи) по обеим оксогруппам с образованием бесцв. лейкосоединения (т. наз. белое индиго). Электроф. замещение (сульфирование, галогенирование) направляется последовательно в положения 5,5'; 7,7'; 4,4'; 6,6'. Индиго - кубовый краситель гл. обр. для целлюлозных волокон. Окраски характеризуются хорошей устойчивостью к свету, удовлетворительной - к мокрым обработкам, низкой - к трению и действию хлора. Его применяют и как пигмент разл. назначения. Производится также Na-соль дисульфоэфира лейкосоединения индиго (II) - индигозоль, крашение к-рым не требует предварит. восстановления (перевода в "куб").
Более интенсивные, яркие, устойчивые к мокрым обработкам и к трению окраски образует 5,5',7,7'-тетраброминдиго (броминдиго). Его получают бромированием индиго в среде конц. H2SO4 или олеума. Из производных индиго известны Индигокармин, пурпур античный (6,6'-диброминдиго). Несмотря на низкие показатели окрасок, индиго устойчиво сохраняет традиц. сферы применения, к к-рым в первую очередь относится крашение джинсовых тканей. В нач. 70-х гг. выпускалось ок. 6 тыс. т/год индиго, а к 1978 - до 20 тыс. т/год, затем выпуск стал резко падать. Устойчивость потребления индиго определяется также традициями крашения национальных тканей в ряде стран. М. В. Казанков.
Синонимы/примеры:*
Индиготин; 2,2'-Би-1H-индол-3,3'-дион
*подобраны ИИ, возможны неточности
Ещё по теме
Индиго — свойства и получение красителя
Индигоидные красители — свойства и применение
Индиго и индигокармин — свойства и применение
Индигоидные красители — характеристики и применение
Тиоиндиго — особенности и применение
Тиоиндигоиды — свойства и применение
Тиоиндигоидные красители — особенности и применение
Индигокармин — свойства и применение
Индоксил — свойства и применение
Индигокармин — применение и особенности
Тиоиндиго оранжевый — применение и токсичность