Кeрра эффект

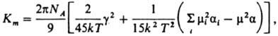
КEРРА ЭФФЕКТ, возникновение двойного лучепреломления в оптически изотропных в-вах в электрич. поле. Разность хода D световых лучей со взаимно перпендикулярными плоскостями поляризации зависит от длины пути света l в в-ве, квадрата напряженности Е электрич. поля и специфичной для каждого в-ва постоянной Керра В: D=2pBlE2. Постоянная Керра, отнесенная к 1 молю в-ва, Кт связана с главными полуосями ai (i=1, 2, 3) эллипсоида поляризуемости и компонентами вектора дипольного момента и, частицы (атома, молекулы, комплекса):
361_380-26.jpg
где Т - т-ра, k -постоянная Больцмана, NA - постоянная Авогадро, a=(a123)/3 - средняя поляризуемость, m2 = m21+m22+m23 - квадрат дипольного момента, g2 =[(a1 - а2)2 + (а2 - а3)2 + (а3 - а1)2]/2- анизотропия поляризуемости. Молярные постоянные Керра имеют порядок 10-27 м5.Кл5.Дж-2 Керра эффект при известных дипольных моментах молекул позволяет определить параметры их эллипсоидов поляризуемости. Керра эффект используют для установления конфигурации и конформации молекул, исследования внутримол. взаимод. путем сравнения экспериментально определенных постоянных Керра с вычисленными значениями для разл. пространственных структур на основании аддитивной схемы, а также как метод физ.-хим. изучения жидких смесей и р-ров - для обнаружения и количеств. описания комплексообразования и др. межмолекулярных взаимодействий. В технике Керра эффект применяют для модуляции света. Открыт Дж. Керром в 1875. Лит.. Верещагин А. Н., Поляризуемость молекул. М., 1980; Прежде В. В., Хащииа М. В., Замков В. А., Электрооптические исследования в физике и химии, Харьков, 1982; Вукс М. Ф., Электрические и оптические свойства молекул в конденсированных сред, Л., 1984. А. Н. Верещагин.

Синонимы/примеры:* Эффект Керра; квадратичный электрооптический эффект
*подобраны ИИ, возможны неточности