Семикарбазид
СЕМИКАРБАЗИД (карбамоилгидразин, гидразид карбами-новой к-ты, аминомочевина) H2NNHC(O)NH2, мол. м. 75,05; бесцв. кристаллы; т. пл. 96 °С; раств. в воде, этаноле. Семикарбазид относительно неустойчив: на воздухе окисляется, при нагр. и длит. хранении разлагается, давая в осн. гидразин и диа-мид 1,2-гидразинкарбоновой к-ты H2NCONHNHCONH2. Используют семикарбазид в виде гидрохлорида, т. пл. 175-177°С (с разл.); раств. в воде.
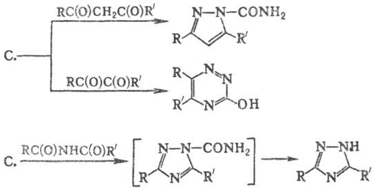
По хим. св-вам напоминает гидразин. Семикарбазид - однокислотное основание (более слабое, чем гидразин); с к-тами образует хорошо кристаллизующиеся соли; с альдегидами и кетонами - семикарбазоны; легко ацилируется; обладает восстановит. способностью (напр., уже на холоду восстанавливает реактив Фелинга). При окислении семикарбазида иодом или гипога-логенитами выделяется N2, что используют для его количеств. определения. Конденсация семикарбазида с бифункцион. орг. соединениями приводит к гетероциклам ряда пиразола, триазола и триазина:

Получают семикарбазид конденсацией гидразина с ROCN или мочевиной; омылением аминогуанидина; восстановлением нитромочевины.
Применяют семикарбазид для идентификации и выделения альдегидов и кетонов (в т. ч. нек-рых гормонов и эфирных масел), для синтеза гетероциклич. соединений.
Лит.: Chemistry of carbon compounds, ed. by E.H. Rodd, v. I, pt B, Amst, 1952; Condensed chemical dictionary, ed. by G. Howley, 10 ed., N.Y., 1981, p. 914. CM. также лит. при ст. Семикарбазоны. Г. Я. Дрозд.