Фитогормоны
ФИТОГОРМОНЫ, низкомол. природные орг. в-ва, вырабатываемые определенными частями высших растений. При низких концентрациях (10-3 - 10-11 M) вызывают в разл. частях растений специфич. биохим., физиол. и морфологич. изменения.
К классич. фитогормонам относят ауксины, гиббереллины, цитокинины, а также абсцизовую кислоту и эндогенный этилен. Св-вами фитогормонов обладают брассиностероиды (см. Регуляторы роста растений). Последние выделены из пыльцы рапса, ольхи и др. источников, служат синергистами ауксинов и гиббереллинов. Они существенно повышают урожаи мн. с.-х. культур.
Новый класс фитогормонов- олигосахарины - биорегуляторы олиго-сахаридной природы (изучение их начато с 1978).
Молекулы олигосахаринов представляют собой короткие, обычно семи-, восьмичленные разветвленные олигосахарид-ные цепочки из простых моносахаридных звеньев. Напр., олигосахарин, образующийся из клеточных стенок патогенного гриба Phytophthora megasperma при заражении им сои, представляет собой разветвленный гептаглюкозид:

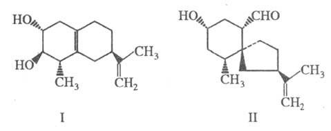
Олигосахарины осуществляют запуск большого каскада биохим. р-ций, конечной стадией к-рых является синтез стрессовых метаболитов, или фитоалексинов,- защитных в-в, синтезируемых растениями в ответ на заражение их фитопа-тогенными грибами. Так, основные фитоалексины картофеля - ришитин (ф-ла I) и любимин (П). Олигосахарины стимулируют также биосинтез лигнина в клеточных стенках растения, препятствуя дальнейшему проникновению гриба.

По сравнению с гормонами животных специфичность биол. действия фитогормонов выражена слабее и четко отличается только в спец. тестах. Для фитогормонов характерна также разл. чувствительность к ним разных тканей растения, синергизм действия, способность растения переводить фитогормоны в менее активные гликозили-рованные производные.
Мол. механизмы действия фитогормонов, в особенности первичные мишени их действия, изучены недостаточно.
Лит.: Метлицкий Л.В., Озерецковская OJL, Фитоалексины, M., 1973; Полевой В.В., Фитогормоны, Л., 1982; Дерфлинг К., Гормоны растений. Системный подход, пер. с нем., M., 1985; Элберсгейм П., Дарвилл А.Г., "В мире науки", 1985, № 11, с. 16-23; Гудвин Т., Мер-сер Э., Введение в биохимию растений, пер. с англ., т. 2, M., 1986, с. 203-68; Усов А.И., "Успехи химии", 1993, № 11, с. 1119-41; Moore T.C., Biochemistry and Physiology of Plant hormones, 2 ed., N.Y., Tokyo, 1989.
B.B. Оноприенко.