Флуоресцентные красители
ФЛУОРЕСЦЕНТНЫЕ КРАСИТЕЛИ (флуоресцирующие красители), обладают способностью флуоресцировать, т.е. превращать поглощенный свет в более длинноволновое видимое излучение.
По хим. строению флуоресцентные красители- ароматич. и гетероциклич. соед. с электронодонорными и(или) электроноакцепторными заместителями. Наиб. интенсивная флуоресценция наблюдается тогда, когда 5- и 6-членные гетероциклы включены в развитую систему сопряженных связей. Существенную роль играет жесткость молекулы, исключающая возможность без-ызлучат. траты энергии возбуждения на колебания и вращение отдельных фрагментов системы. Электронодонорные заместители в большинстве случаев повышают, а электроноак-цепторные (особенно NO2) - понижают интенсивность свечения.
Флуоресцентные красители могут применяться либо в разбавленных р-рах (при этом увеличение концентрации флуоресцентных красителей снижает интенсивность флуоресценции, т. наз. эффект концентрационного тушения), либо в кристаллич. состоянии.
К флуоресцентным красителям относятся широко применяемые в быту и технике отбеливатели оптические, а также соед. ряда флуоресцеина и родамина (см. Ксантеновые красители). Последние используются в виде твердых р-ров в легко дробящихся смолах (напр., глифталевых или меламино-формальдегидо-толуол-сульфамидных) при изготовлении т. наз. дневных флуоресцентных пигментов. Эти пигменты придают краскам повышенную яркость (в 1,5-2 раза выше, чем у обычных красок) благодаря тому, что к отраженной части видимого спектра прибавляется флуоресценция.
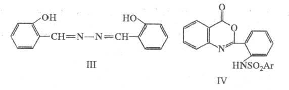
В качестве флуоресцентных красителей применяют: 3-метоксибензатрон и соед. ф-лы I - для окрашивания полимеров в массе; 2-(2-гидрокси-фенил)бензоксазол (II) и салицилальдазин (III) - для мечения биол. объектов и для флуоресцентного анализа неорг. ионов; производные 5-арилиденбарбитуровой к-ты, а также производные хиназолина и бензоксазина (напр., IV) - для автома-тизир. считывания нанесенной информации, сортировки почтовой корреспонденции, защиты ценных бумаг от подделок.


Лит.: Красовицкий Б.М., Болотин Б. M., Органические люминофоры, 2 изд., M., 1984. Б. M. Болотин.