Атомно-флуоресцентный анализ

АТОМНО-ФЛУОРЕСЦЕНТНЫЙ АНАЛИЗ (атомно-флуоресцентная спектрометрия), метод количеств. элементного анализа по атомным спектрам флуоресценции. Пробу анализируемого в-ва превращают в атомный пар и облучают для возбуждения флуоресценции таким излучением, к-рое поглощают атомы только определяемого элемента (длина волны излучения соответствует энергии электронных переходов этих атомов). Часть возбужденных атомов излучает свет - аналит. сигнал, регистрируемый спектрофотометрами. Обычно используют резонансную флуоресценцию, при к-рой длины волн поглощенного и излученного света одинаковы. Для атомизации р-ров применяют пламена, индуктивно связанную плазму или электротермич. атомизаторы (нагреваемые электрич. током графитовые трубки, нити, стержни, тигли). Атомизацию порошкообразных проб осуществляют в графитовых тиглях или капсулах, к-рые иногда вносят в пламя для дополнит. нагрева паров пробы. Хим. состав плямен выбирают так, чтобы выход флуоресценции (т. е. доля поглощенной энергии, излучаемой в виде флуоресценции) и степень атомизации были максимальны. С целью увеличения выхода электротермич. атомизаторы обычно помещают в атмосферу аргона. Для возбуждения флуоресценции используют интенсивные лампы с линейчатым или непрерывным спектром, а также лазеры с перестраиваемой длиной волны.

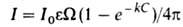
В основе количеств. анализа лежит соотношение:
1041-37.jpg

где I и I0-интенсивности соотв. аналит. сигнала и источника возбуждения,1041-38.jpg-энергетич. выход,1041-39.jpg-телесный угол сбора флуоресценции, С-концентрация элемента, k -коэф., характеризующий поглощение света,1041-40.jpg=3,14. С помощью стандартных образцов (не менее трех) строят градуировочный график в координатах lgI - IgC. Обычно графики линейны в области до 2 порядков величины концентраций определяемого элемента.

Аналитический сигнал в атомно-флуоресцентном анализе формируется на фоне шумов регистрирующей схемы и рассеянного света. Последний возникает в результате рассеяния излучения источника возбуждения на оптич. неоднородностях паров и на частицах пробы в атомизаторах. При больших интенсивностях рассеянного света выделение из шума сигнала резонансной флуоресценции затруднено, поскольку длина волны аналит. линии совпадает с длиной волны рассеянного света. Для подавления влияния шума макрокомпоненты пробы отделяют и анализируют концентрат микроэлементов. Применяют также нерезонансную флуоресценцию, при к-рой длины волн возбуждающего и рассеянного света не совпадают с длиной волны флуоресценции. В этом случае эффективное возбуждение достигается только с использованием лазеров.

Для регистрации спектра флуоресценции применяют светосильные спектрофотометры с большим углом1042-1.jpg. Измеряют интенсивность излучения, распространяющегося под прямым углом к возбуждающему излучению (в этом направлении интенсивность рассеянного света обычно минимальна). Методом атомно-флуоресцентного анализа можно определять ок. 65 элементов; пределы обнаружения достигают 10-6*10-8% (в порошках) и 10-3нг/мл (в р-рах). Высокая селективность метода, обусловленная очень узкими линиями атомной флуоресценции, дает возможность определять одновременно неск. элементов. Для этого вокруг атомизатора устанавливают соответствующее число светосильных спектрофотометров. Атомно-флуоресцентный анализ легко автоматизируется, стоимость аппаратуры относительно невысока.

Метод применяется для анализа пород (земных и лунных), почв, прир. и сточных вод, сталей, сплавов, нефтей, пищ. продуктов, биол. объектов (крови, мочи), разл. хим. соед., для дистанц. определения элементов в верх. слоях атмосферы.

Литература

Зайдель А. Н., Атомно-флуоресцентный анализ. Физические основы метода, М., 1980; его же, Атомно-флуоресцентный анализ, Я. 1983 (Методы аналитической химии). Ю.И.Беляев.