Фосфонистые кислоты
ФОСФОНИСТЫЕ КИСЛОТЫ, существуют в виде двух тау-томерных форм:

Таутомерное равновесие сильно сдвинуто в сторону гидро-фосфорильной формы (I), в связи с чем фосфонистые кислоты обычно проявляют св-ва одноосновных к-т. Эфиры и соли фосфонистых кислот наз. фосфонитами.
Фосфонистые кислоты- жидкости или твердые в-ва; раств. в орг. р-рителях, низшие фосфонистые кислоты раств. в воде и являются к-тами средней силы [напр., для C6H5P(O)HOH рКа 1,53]. В спектрах ЯМР 31P для фосфонистых кислот характерен дублет в области 15-40м.д.; константа спин-спинового взаимод. 400-500 Гц.
С основаниями фосфонистые кислоты образуют соли типа [RP(O)HO]--M+ (M = Na, К, Li, NH4), при взаимод. с избытком литийорг. соед. возможно получение дисолей, напр.:

При нагр. фосфонистые кислоты диспропорционируют:

Эту р-цию используют как лаб. метод синтеза первичных фосфинов. Фосфонистые кислоты легко окисляются до фосфоновых к-т, фос-форилируют амины по схеме Тодда-Атертона реакции. При взаимод. фосфонистых кислот с PCl3 образуются органилдихлорфосфины, с PCl5 и SO2Cl2 - дихлорангидриды фосфоновых к-т. Фосфонистые кислоты в виде гидрофосфорильных соед. вступают в р-ции Абрамова, Кабачника-Филдса и родственные процессы с образованием
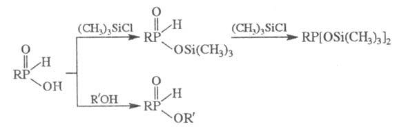
функциональнозамещенных фосфиновых к-т, легко силили-руются и этерифицируются:

Замещенные фосфонистые кислоты при взаимод. с нуклеофилами могут не только обменивать заместитель на остаток нуклеофила, но и перегруппировываться, напр.:

Получают фосфонистые кислоты гидролизом их производных (напр., хлоран-гидридов) и гомолитич. гидрофосфорилированием олефинов, напр.:

Фосфонистые кислоты используют как реагенты в синтезе, нек-рые из них применяются в качестве пестицидов.
Лит.: Нифантьев Э.E., Химия фосфорорганических соединений, M., 1971, с. 104-109; Нифантьев Э.Е., Химия гидрофосфорильных соединений, M., 1983. Э. E. Нифантьев.