Магнитный момент

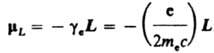
МАГНИТНЫЙ МОМЕНТ, векторная величина, характеризующая магн. св-ва в-ва. Магнитным моментом обладают все элементарные частицы и образованные из них системы (атомные ядра, атомы, молекулы). Магнитный момент атомов, молекул и др. многоэлектронных систем складывается из орбитальных магнитных моментов электронов, спиновых магнитных моментов электронов и ядер и вращат. магнитного момента, обусловленного вращением молекулы как целого. Орбитальный магнитный момент электрона
622_640-1.jpg,
где е и mе - абс. значения заряда и массы электрона соотв., с - скорость света,
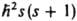
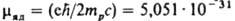
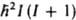
ge - коэф. пропорциональности, наз. гиромагнитным отношением, вектор L - орбитальный момент кол-ва движения, квадрат к-рого равен 622_640-2.jpg (l - орбитальное квантовое число, 622_640-3.jpg - постоянная Планка). Знак минус обусловлен отрицат. зарядом электрона и означает, что направления магнитного момента mL и орбитального момента L противоположны. Электронный орбитальный магнитный момент значителен у многоэлектронных атомов и ионов с частично заполненными d- и f-орбиталями, напр. у атомов и ионов переходных металлов, а также у двухатомных молекул (напр., NO). У многоатомных орг. молекул и радикалов в осн. состоянии электронный орбитальный магнитный момент практически отсутствует. Магнитный момент, обусловленный спином электрона, ms = — gges, где вектор s - собств. момент кол-ва движения (спин), квадрат к-рого равен 622_640-4.jpg (s - спиновое квантовое число), g -множитель Ланде (g-фактор), равный для электрона 2,0023. Направление спинового магнитного момента электрона также противоположно направлению спина (собств. момента кол-ва движения). Магнитный момент электрона часто выражают через магнетон Бора 622_640-5.jpg Дж/Гс; тогда 622_640-6.jpg и магнитный момент, 622_640-7.jpg обусловленный спином ядра, определяется как mn = gnI, где gn - гиромагнитное отношение для ядра, а квадрат вектора I равен 622_640-8.jpg , где I - спиновое квантовое число ядра. Ядерный магнитный момент часто выражают через ядерный магнетон 622_640-9.jpg Дж/Гс, где тр - масса протона; тогда 622_640-10.jpgи 622_640-11.jpg, где gn — g-фактор ядра. Последняя величина имеет разл. значения для разных ядер и определяется внутр. (нуклонной) структурой ядра. Направление магнитного момента протона совпадает с направлением его спина; для др. ядер (напр., 15N) оно м. б. противоположным.
Орбитальный магнитный момент mL, спиновые электронный и ядерный магнитные моменты ms и mn пропорциональны соответствующим моментам кол-ва движения L, S и I, но коэф. пропорциональности для них различны. По этой причине направление магнитного момента атомных и мол. систем, как правило, не совпадает с направлением вектора их полного момента кол-ва движения. У атомов и ионов, содержащих неспаренные электроны, главный вклад в магнитный момент вносят mL и ms: у орг. радикалов магнитный момент определяется почти исключительно ms, а небольшой вклад mL приводит лишь к малому отличию g-фактора радикалов от g-фактора своб. электронов. В магн. поле напряженности Н (вектор с компонентами Нх, Нy и Нz) энергия Е частицы изменяется:

E=E0 - mH - 1/2H.cH,

где E0 - энергия частицы в отсутствие поля, c - тензор, наз. магн. восприимчивостью частицы (приведены только первый и второй члены разложения в ряд по Н) (см. Зеемана эффект). Выражение для энергии Е частицы в магн. поле позволяет определить магнитный момент частицы как производную:

m= - дЕ/дН,

а компоненты тензора магн. восприимчивости c - как втoрые производные:

cij = - д2E/дHiдHj (i, j = х, у или z).

Для макроскопич. тел магнитный момент всех составляющих тело частиц усредняются, что приводит к появлению вектора намагниченности М, или магнитного момента единицы объема. Как правило, для элементарного объема dV

M = M0 + cH,

где М0 - намагниченность в отсутствие поля, c - макроскопич. магнитная восприимчивость, к-рая появляется в результате усреднения магн. восприимчивостей c отдельных частиц. У ферромагнетиков и ферримагнетиков M0 0, у диамагнетиков и парамагнетиков M0 = 0; в магн. поле диамагнетики и парамагнетики намагничиваются (М 0), причем для диамагнетиков c < 0, для парамагнетиков c > 0. Эксперим. измерение намагниченности М позволяет судить о том, в каких квантовых состояниях находятся составляющие тело частицы (атомы, ионы, молекулы). Однако из-за обменного взаимодействия магнитные моменты изолированных частиц часто не равны магнитным моментам тех же частиц в кристаллич. решетке, вычисляемым по намагниченности чистого в-ва или твердого р-ра.

Литература
Вонсовский С. В., Магнетизм микрочастиц, М., 1973; Калинников В. Т., Ракитин Ю. В., Введение в магнетохимию, М., 1980; Уайт Р., Квантовая теория магнетизма, пер. с англ., 2 изд., М., 1985.