Спин
СПИН (англ. spin, букв.-вращение), собств. момент кол-ва движения элементарной частицы (электрона, протона и т. п.). Имеет квантовую природу и не связан с к.-л. перемещениями частицы, в т.ч. не зависит от наличия или отсутствия у нее орбитального (углового) момента кол-ва движения. Пространств. квантование спина определяет квантовое число s: проекция спина S частицы на выбранное направление Sz может принимать значения, измеряемые в единицах постоянной Планка ђ и равные — sђ, —sђ + ђ, ..., sђ. Квантовое число s наз. спиновым квантовым числом или просто спином; оно равно для электрона, протона, нейтрона, нейтрино 1/2, для фотона 1, для p- и К-мезонов 0.
Спином наз. также собств. момент кол-ва движения атомного ядра, атома, мол. системы; в этом случае спин системы определяется как векторная сумма спинов отдельных частиц: Ss = S. Так, спин ядра равен целому или полуцелому числу (обозначается обычно I) в зависимости от того, включает ли ядро четное или нечетное число протонов и нейтронов. Напр., для 1Н I = 1/2, для 10В I = 3, для 11В I = 3/2, для 17О I = 5/2, для 16О I = 0. Для атома Не в основном состоянии полный электронный спин S = 0, в первом возбужденном состоянии S = 1. В совр. теоретич. физике, гл. обр. в теории элементарных частиц, спином часто называют полный момент кол-ва движения частицы, равный сумме орбитального и собств. моментов.
Концепция спина введена в 1925 Дж. Уленбеком и С. Гаудсмитом, к-рые для интерпретации эксперим. данных о расщеплении пучка атомов серебра в магн. поле предположили, что электрон можно рассматривать Как вращающийся вокруг своей оси волчок с проекцией на направление поля, равной
В том же году В. Паули ввел понятие спина в математич. аппарат нерелятивистской квантовой механики и сформулировал принцип запрета, утверждающий, что две тождеств. частицы с полуцелым спином не могут одновременно находиться в системе в одном и том же квантовом состоянии (см. Паули принцип). Согласно подходу В. Паули, существуют операторы s2 и sz, к-рые обладают собств. значениями ђ2s(s + 1) и ђsz соотв. и действуют нат. наз. спиновые части волновой ф-ции a и b (спин-функции) так же, как операторы орбитального момента кол-ва движения I2 и Iz действуют на пространств. часть волновой ф-ции Y(r), где r-радиус-вектор частицы. Операторы s2 и sz подчиняются тем же правилам коммутации, что и операторы I2 и Iz.
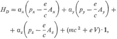
Уравнение Дирака. В 1928 П. Дираком было показано, что существование спина следует из релятивистского (с учетом конечности скорости света) решения задачи о движении электрона в электромагн. поле. Ур-ние Дирака имеет формально такой же вид, что и ур-ние Шрёдингера:
iђdYD/dt = HDYD
(t-время). Оператор HD, однако, линеен по компонентам импульса электрона р, и если напряженность поля характеризуется векторным потенциалом А с компонентами Ах, Ау, Аz и скалярным потенциалом V, то

где е и m-заряд и масса покоя электрона, с-скорость света. Операторы рх, ру, рz имеют обычный вид:

коэффициенты ax, aу, az-матрицы размера 4 x 4 (матрицы Дирака), 1-единичная матрица. Релятивистская волновая ф-ция YD для электрона, как и для любой другой частицы со спином 1/2, должна быть 4-компонентной; обычно это выражают след. записью:

Ур-ние Дирака фактически является системой 4 ур-ний для 4 ф-ций Fi и Xi, зависящих от координат х, у и z и времени t.
Существование спина как собств. момента кол-ва движения электрона следует из того, что в отсутствие момента внеш. сил оператор HD коммутирует не с оператором орбитального момента L, как оператор H в ур-нии Шрёдингера, а с оператором J = L + S. Это значит, что не сохраняется орбитальный момент кол-ва движения своб. электрона, а сохраняется лишь сумма орбитального и нек-рого дополнит. момента-спина.
Ур-ние Дирака существенно упрощается при малых (относительно скорости света) скоростях u классич. движения электрона, когда
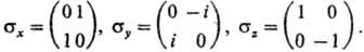
В нерелятивистском пределе, когда масса электрона становится равной массе покоя, X1 и Х2 устремляются к нулю, а оператор HD переходит в т. наз. оператор Брейта-Паули:

где s · В = sxВх + sgВу + szВz; Вх, Ву, Вz - компоненты вектора магн. индукции В = rot А, совпадающие в вакууме с компонентами напряженности магн. поля Н, а sx, sy, sz-матрицы размера 2x2 (матрицы Паули):

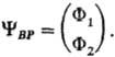
Волновая ф-ция YВP, являющаяся решением ур-ния Брейта-Паули, имеет два компонента, в отличие от 4-компонентной YD:

Для электрона в однородном магн. поле YВP всегда м.б. представлена как собств. ф-ция операторов s2 и sz с собств. значениями ђ2s(s + 1) и bђs, где s = 1/2. Таких собств. ф-ций две: одна
с собств. значениями
и
другая
с собств. значениями
и —
Эти ф-ции обычно записывают в виде:
Y1=F1(r,t)a и Y2 = F2(r,t)b,
где под символаaми a и b имеют в виду векторы
и
, к-рые и наз. спин-функциями. Говорить об их функцион. зависимости можно лишь условно, и часто встречающаяся запись вида a(1) b(2) означает только то, что символ a представляет собой вектор для одного электрона, а символ b-соответствующий вектор для второго электрона.
Спиновый магнитный момент. В оператор Брейта-Паули НВР входят два члена, линейно зависящие от компонент векторного потенциала А, определяющего внеш. магн. поле:

Для однородного поля А = 1/2 В x r, знак x означает векторное произведение, и
где
-магнетон Бора. Векторная величина
наз. магн. моментом частицы с зарядом е и массой т (в данном случае-электрона), векторная же величина
получила назв. спинового магн. момента. Отношение коэффициентов перед s и l наз. g-фактор ом частицы. Для протона 1Н (спин I = 1/2) g-фактор равен 5,5854, для ядра 13С с тем же спином I = 1/2 g-фактор равен 1,4042; возможны и отрицат. g-факторы, напр.: для ядра 29Si g-фактор равен — 1,1094 (спин равен 1/2). Экспериментально определяемая величина g-фактора электрона составляет 2,002319.
Как для одного электрона, так и для системы электронов или др. частиц спином S ориентируется относительно направления однородного поля. Проекция спина Sz на направление поля принимает 2S + 1 значение: — S, — S + 1, ... , S. Число разл. проекций спина наз. мультиплетностью квантового состояния системы со спином S.
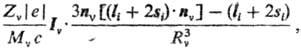
Магн. поле, действующее на электрон или ядро в молекуле, м.б. не только внешним, оно может создаваться и др. электронами либо возникать при вращении системы заряженных частиц как целого. Так, взаимод. магн. поля, создаваемого электроном i, с ядром v приводит к появлению в гамильтониане члена вида:

где nv- единичный вектор в направлении радиуса-вектора ядра Rv, Zv и Мv-заряд и масса ядра. Члены вида Iv·Ii отвечают спин-орбитальному взаимодействию, члены вида Iv·si- спин-спиновому взаимодействию. Для атомных и мол. систем наряду с указанными возникают и члены, пропорциональные (si·sj), (Iv·Im) и т.п. Эти члены обусловливают расщепление вырожденных энергетич. уровней, а также приводят к разл. сдвигам уровней, что определяет тонкую структуру и сверхтонкую структуру (см. Атомные спектры, Молекулярные спектры).
Экспериментальные проявления спина. Наличие отличного от нуля спина электронной подсистемы приводит к тому, что у молекулы в однородном магн. поле наблюдается расщеп-ление уровней энергии, причем на величину этого расщепления влияет хим. строение молекулы (см. Электронный парамагнитный резонанс). Наличие ненулевых спинов атомных ядер также приводит к расщеплению уровней, причем это расщепление зависит от экранирования внеш. поля ближайшим к данному ядру окружением (см. Ядерный магнитный резонанс). Спин-орбитальное взаимод. приводит к сильным расщеплениям уровней электронных состояний, достигающим величин порядка неск. десятых эВ и даже неск. единиц эВ. Особенно сильно оно проявляется у атомов тяжелых элементов, когда становится невозможным говорить о том или ином спине атома или молекулы, а можно говорить лишь о полном моменте импульса системы. Более слабыми, но тем не менее отчетливо устанавливаемыми при исследовании спектров являются спин-вращательные и спин-спиновые взаимодействия.
Для конденсир. сред наличие спинов частиц проявляется в магн. св-вах этих сред. При определенной т-ре возможно возникновение упорядоченного состояния спинов частиц (атомов, молекул, ионов), находящихся, напр., в узлах кристаллич. решетки, а следовательно, и связанных со спинами магн. моментов, что ведет к появлению у системы сильного парамагнетизма (ферромагнетизма, антиферромагнетизма). Нарушение упорядоченности спинов частиц проявляется в виде спиновых волн (см. Магнитные материалы). Взаимод. собственных магн. моментов с упругими колебаниями среды наз. спин-фонон-ным взаимод. (см. Химия твердого тела); оно определяет спин-решеточную релаксацию и спин-фононное поглощение звука.
Важное проявление спин-связанные с ним правила отбора и правила запрета. При слабом спин-орбитальном либо спин-спиновом взаимод. у системы сохраняются по отдельности орбитальный момент и спин либо спины тех или иных подсистем. Так, можно говорить об определенном спине подсистемы ядер и подсистемы электронов молекулы. Слабое спин-спиновое взаимод. электронов и излучаемого (или поглощаемого) молекулой фотона приводит к тому, что спин электронной подсистемы с большой вероятностью не меняется при излучении (поглощении) света, что приводит к правилу отбора при квантовых переходах: излучение или поглощение света происходит так, что спин молекулы сохраняется, т. е. DS = 0. Сохранение спина приводит и к тому, что излучат. время жизни атомов и молекул, находящихся, напр., в низшем возбужденном триплетном состоянии, оказывается очень большим из-за запрета по спину излучат. перехода в основное синглетное состояние (см. Люминесценция). В газофазных хим. р-циях часто выполняется аналогичное правило: в ходе элементарного акта взаимод. частиц суммарный спин системы не меняется. Изучение правил запрета по спину и выяснение причин, вызывающих их нарушения, позволяет получать важную информацию о механизмах реакций и роли спиновых эффектов в р-циях.
Спин и химическая связь. На начальном этапе развития квантовой химии В. Гайтлером и Ф. Лондоном при рас-смотрении молекулы Н2 образование хим. связи было соот-несено со способностью электрона одного атома образовывать пару с противоположным по спину электроном др. атома. Таким образом возникла теория двухэлектронных связей, послужившая основой квантовохим. расчетного метода локализованных электронных пар (см. Валентных связей метод). Аналогичный вывод о том, что образование хим. связи обусловлено тенденцией к спариванию спинов электронов, впоследствие был сформулирован в молекулярных орбиталей методах, Это утверждение является весьма приближенным. Его качеств. справедливость м.б. обоснована лишь в тех случаях, когда для описания электронного состояния системы можно с хорошей точностью использовать пробную волновую ф-цию, отвечающую всего лишь одной валентной схеме, либо ф-цию ограниченного метода Хартри-Фока. В целом влияние спинов на образование хим. связи оказывается лишь косвенным: требование антисимметричности электронной волновой ф-ции приводит при заданном спине молекулы к определенным ограничениям на пространств. распределение электронов, что влечет за собой и различие в энергиях состояний с разной мультиплет-ностью.
Лит.: Давыдов А. С., Квантовая механика, 2 изд., М., 1973; Мессиа А., Квантовая механика, пер. с франц., т. 1-2, М., 1978-79; McWeeny R-, Spin in chemistry, N. Y., 1970. H. F. Степанов.