Зеемана эффект

ЗЕЕМАНА ЭФФЕКТ, расщепление уровней энергии квантовой системы в магн. поле (снятие вырождения). Проявляется как расщепление спектральных линий атомов, молекул, кристаллов при квантовых переходах между возникшими подуровнями. Величина расщепления (расстояние между подуровнями) зависит от напряженности Н внеш. магн. поля. Как правило, в области, занимаемой атомом или молекулой, Н меняется настолько мало, что магн. поле может считаться однородным. Энергия Е0 квантовой системы в однородном магн. поле меняется на величину:

W = - mH - 1/2HcH - ...,

где m - магнитный момент системы, c - тензop магн. восприимчивости, определяющий наведенный (индуцируемый) магн. момент mинд = 1/2cН. В выражении для поправки W к энергии Е0 записаны только первый и второй члены разложения по Н; соответственно говорят о Зеемана эффекте первого и второго порядков. Зеемановские подуровни (компоненты зеемановского мультиплета) с энергиями (Е0 + Wi) соответствуют разл. проекциям магн. моментов m и mинд на направление поля H (проекции нумеруются индексом i). При малых напряженностях однородного магн. поля, напр. Нz, направленного вдоль оси z, для расчета Зеемана эффекта достаточно ограничиться первым порядком возмущений теории. Для атома в состоянии с отличным от нуля полным моментом кол-ва движения J = L + S (L - орбитальный, S -спиновый моменты кол-ва движения) энергия разл. зеемановских подуровней определяется проекциями электронного магн. момента и рассчитывается по ф-ле:

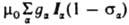
WJz = mБgJzJzHz (1)

где mБ - магнетон Бора, Jz - проекция полного момента на направление поля (Jz = -J, -J + 1,..., J), gJz - электронный g-фактор Ланде, равный:
161_180-1.jpg
(ge = 2,0023 - т. наз. g-фактор своб. электрона). При больших напряженностях Hz, когда зеемановское расщепление превосходит по величине расщепление, обусловленное спинорбитальным взаимодействием, ф-ла (1) заменяется следующей:

WLz,Sz = mБ(Lz + 2Sz)Hz (2)

Здесь Lz= -L, -L+1,...,L; Sz = -S, -S+1,...,S. В этом случае обычно говорят об эффекте Пашена-Бака.

Величина расщепления, обусловленного электронным магн. моментом, составляет при Hz ~ 1 Тл величину ~0,5gJ -1, т. е. 0,5-1 см-1. Частоты переходов между зеемановскими подуровнями лежат в микроволновом диапазоне (1 см-1 ~ 30000 МГц). Так, электронный переход 1S : 1Р у Mg в отсутствие магн. поля проявляется как линия с частотой 35061,6 см-1, а в магн. поле напряженности Нz ~ 2 Тл - как три линии с расстоянием между соседними линиями ~1 см-1. У молекул возможны разл. проявления Зеемана эффекта в зависимости от того, какие составляющие ее магн. момента играют при этом определяющую роль. Так, для многоатомных молекул, не обладающих сферич. или осевой симметрией, в конденсир. фазе среднее значение орбитального момента кол-ва движения электронов близко к нулю, вращение молекулы как целого также отсутствует. Для таких молекул магн. момент определяется суммарным спином S электронов: если S0, то имеются неспаренные электроны (частицы парамагнитны). Расщепление на зеемановские подуровни определяется величиной WS(1) ~ gemБmSHz, где mS = -S, -S + 1,..., S - проекция спина на направление поля. Если в молекуле имеются ядра со спинами Ia, происходит дополнит. расщепление уровней WS(1) обусловленное ядерными магн. моментами и определяемое оператором вида 161_180-2.jpg , где m0 - ядерный магнетон (примерно в 2000 раз меньший mБ), ga - ядерный g-фактор (равный, напр., 5,5854 для 1Н и 0,8574 для 2Н), sa - константа магн. экранирования ядра а электронами молекулы. При действии на систему переменного электромагн. поля с частотой, отвечающей разности энергий между соответствующими зеемановскими подуровнями, происходит резонансное поглощение энергии электромагн. поля - электронный парамагнитный резонанс. Указанные малые поправки, обусловливающие расщепление подуровней WS(1) за счет взаимод. магн. моментов ядер с полем, приводят к появлению в спектрах ЭПР сверхтонкой структуры. Взаимод. неспаренных электронов с магн. моментами ядер ионов, окружающих парамагн. частицу в кристалле, также приводит к дополнит. расщеплению зеемановских подуровней (суперсверхтонкая структура спектра ЭПР). Для диамагн. многоатомных молекул, у к-рых L = 0 и S = 0, расщепление в магн. поле на зеемановские подуровни определяется прежде всего магн. моментами ядер 161_180-3.jpg (с учетом экранирования sa). Спектр поглощения электромагн. излучения в этом случае наз. спектром ядерного магнитного резонанса. Дополнительное, более слабое расщепление, характеризующее тонкую структуру зеемановских подуровней и спектра ЯМР, связано с взаимод. магн. моментов ядер между собой, т. е. с ядерным спин-спиновым взаимодействием. Величины расщеплений в спектрах ЯМР значительно меньше, чем в случае Зеемана эффекта, обусловленного электронным магн. моментом, прежде всего из-за соотношения m0 и mБ. Молекулы в газовой фазе обладают вращат. моментом кол-ва движения R. В магн. поле возникает расщепление вращат. уровней, определяемое взаимод. с полем вращат. магн. момента молекулы m0gR, где g - мол. g-фактор (в общем случае тензор второго ранга). Компоненты мол. g-фактора для нейтральных молекул обычно очень малы; так, для линейной молекулы (ось молекулы - ось z) F-C=C-H gzz = 0, gхх = gуу = - 0,0077 b 0,0002, для молекулы CH3F (ось симметрии - ось z) gzz = + 0,310, gхх = gуу = - 0,061 b 0,002. Расщепление вращат. уровней в магн. поле и связанная с ним тонкая структура вращат. спектров позволяют определять мол. g-факторы. Для молекул в газовой фазе Зеемана эффект второго порядка, связанный с их магн. восприимчивостью c, дает информацию об анизотропии магн. восприимчивости, что, совместно с данными по молекулярным g-факторам и моментам инерции, позволяет вычислять компоненты электрич. квадрупольного момента молекул и устанавливать знак их постоянного дипольного момента. Анализ эксперим. данных по Зеемана эффекту первого и второго порядков приводит также к независимому определению диа- и парамагнитной составляющих магнитной восприимчивости молекул. Впервые Зеемана эффект наблюдал П. Зееман в 1896 при исследовании свечения паров натрия в магн. поле.
Литература
Эткинс П., Кванты. Справочник концепций, пер. с англ., М., 1977; Флайгер У., Строение и динамика молекул, пер. с англ., т. 1-2, М., 1982.
Н. Ф. Степанов.

Синонимы/примеры:* Эффект Зеемана; Эффект Пашена-Бака
*подобраны ИИ, возможны неточности