Морфинановые алкалoиды
МОРФИНАНОВЫЕ АЛКАЛOИДЫ, подгруппа изохиноли-новых алкалоидов. Наиб. часто встречаются в родах мак (Papaver), стефания (Stephania), синомениум (Sinomcnium), луносемянник (Menispermum), реже - в родах коккулюс (Сос-culus), кротон (Croton), триклизия (Triclisia), окотея (Ocotea) и др. Включают ок. 50 представителей.
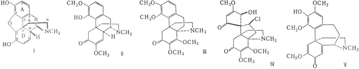
Морфинановые алкалоиды подразделяют на тип морфина (ф-ла I), синоменина (II), хасубанонина (III), акутумина (IV), андроцимбина (V). Кольцо А во всех типах морфинановых алкалоидов-ароматическое, кольцо D частично гидрированное. Соед. типа V (гомоморфинаны) часто содержат эфирный мостик между кольцами А и D; найдены в растениях семейства лилейных (Liliaceae). Морфинановые алкалоиды встречаются в природе в виде вторичных, третичных и четвертичных оснований, а также в виде N-оксидов. Имеются алкалоиды с кислородсодержащими заместителями в положениях 10, 14 и 16.

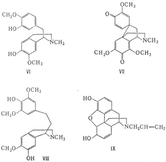
Морфинановые алкалоиды образуются в растениях из тирозина, через бен-зилизохинолиновые алкалоиды (напр., протосиноменин-VI). Алкалоиды типа I получаются из алкалоидов типа II, называемых поэтому проморфинанами. Последние - предшественники алкалоидов типа III. Окислит. сочетание соответствующих бензилизохинолинов приводит также к соед. типа VII, из к-рых получаются алкалоиды типа IV. Гомо-морфинаны образуются в растениях окислит, сочетанием соответствующих фенетилизохинолинов (VIII).

Синтезировано большое число морфинановых алкалоидов, структура к-рых близка структуре морфина. Наиб. интересны для медицины алкалоиды типа морфина и соед., полученные на их основе. Среди морфинановых алкалоидов имеются в-ва, обладающие мощным обезболивающим (морфин), противокашлевым (кодеин)и др. действием. Получены соединения-антагонисты морфина, напр. налорфин (IX).
Исп. литература для статьи «МОРФИНАНОВЫЕ АЛКАЛOИДЫ»: Bentlcy К. W., в кн.: Chemistry of the alkaloids, ed. by S.W. Pelletier, N. Y,- [a. o.], 1970, p. 117-49. M. С. Юнусов.