Тропановые алкалоиды
ТРОПАНОВЫЕ АЛКАЛОИДЫ, содержат в молекуле остаток тропана (ф-ла I) и являются сложными эфирами аминоспиртов и карбоновых K-T. Аминоспирты представляют собой, как правило, производные тропана, тропина (3-гидрокситропан), эк-гонина (З-гидрокси-2-карбокситропан), 3,7-дигидрокситропана, скопина (6,7-эпок-ситропин), телоидина (3,6,7-тригидрок-ситропан) и др. Из K-T в этих алкалоидах наиб, часто встречаются троповая C6H5CH(CH2OH)COOH, бензойная C6H5COOH, вератровая (3,4-диметоксибензойная), изовале-риановая, (+)-
-метилмасляная, коричная и др.

Тропановые алкалоиды обнаружены в растениях семейства пасленовых (Sola-nасеае), реже - др. семейств, напр. эритроксиловых (Eryth-roxylaceae) и вьюнковых (Convolvulaceae).
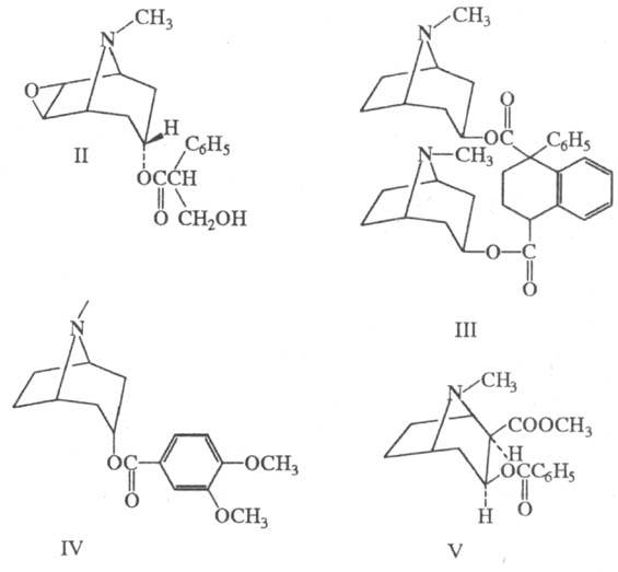
Иногда среди тропановых алкалоидов выделяют группы атропина и кокаина. Алкалоиды группы атропина представляют собой производные тропана с заместителями, гл. обр. в положениях 3,6,7. Атропин - рацемат гиосциамина - сложного эфира тропина и троповой к-ты, содержится (в кол-ве 0,1-0,5%) в белладонне (Atropa belladonna), белене (Hyoscyamus niger), скополии (Scopolia tangutica) и др. видах семейства пасленовых. В тех же растениях содержится родственный алкалоид скополамин (II) - сложный эфир скопина и троповой к-ты - бесцв. кристаллы, хорошо раств. в воде, хуже - в этаноле;
-28° (в воде), т. пл. моногидрата 59 0C. Для практич. целей его получают из семян дурмана индийского (Datura innoxia). K группе атропина относят ряд алкалоидов, молекулы к-рых содержат по два тропановых ядра. Примерами могут служить
и
белладонины (цис- и транс-изомеры Ш) - эфиры тропина и соотв.
и
изатроповых K-T, а также субхирзин A2C = O и конвольвидин ACH2CH2A, где А имеет строение IV.

Тропановые алкалоиды группы кокаина имеют заместители в положениях 2 и 3 тропанового ядра. Они содержатся в листьях кустарника кока (Erythroxylon coca) в кол-ве ок. 1 % (культурные растения содержат их значительно меньше). Кокаин (V) представляет собой бесцв. кристаллы горького вкуса, т. пл. 98 0C,
-15,8° (в воде), хорошо раств. в воде и этаноле. При кислотном или щелочном гидролизе распадается на бензойную к-ту, метанол и экгонин. В пром-сти кокаин получают экстракцией из листьев кока или омылением смеси алкалоидов до экгонина с послед, метилированием его карбоксильной группы и бен-зоилированием.
Из алкалоидов группы кокаина по два тропановых ядра содержат
и
труксиллины, к-рые представляют собой метиловые эфиры экгонина, этерифицированные по группе ОН соотв.
-труксилловой (VI) и
-изотруксилловой (Vn) к-тами.

Фармакологич. действие тропановых алкалоидов разнообразно. Атропин (как и гиосциамин) возбуждает центр, нервную систему, стимулирует дыхание (но в больших дозах может вызвать его остановку). Для лечебных целей применяется как спазмолитич. ср-во. Скополамин по фармакологич. св-вам сходен с атропином. Используется в офтальмологии (для расширения зрачка), в неврологии - для лечения паркинсонизма, в анестезиологии - при подготовке к наркозу. Кокаин - сильный наркотик; из-за высокой токсичности находит применение в медицине только как местноанестезирующее ср-во (для поверхностной анестезии в стоматологии, офтальмологии). Большие дозы кокаина вызывают паралич дыхат. центра.
Лит.: В о i 1 H. G., Ergebnisse der Alkaloid-Chemie bis 1960, В., 1961; The alkaloids: chemistry and physiology, ed. by R. H. F. Manske, H. L. Holmes, v. 6, N. Y., 1960, p. 145; v. 13, N. Y.- L., 1971, p. 352. С. Ф. Apunoвa.