Бартона реакция

БАРТОНА РЕАКЦИЯ (Бартона перегруппировка), фотохим. перегруппировка алкилнитритов в нитрозоспирты с послед. превращением последних в оксимы или димеры:
1047-44.jpg

где R = Н, Alk, Аг. Процесс обычно осуществляют при охлаждении в инертном р-рителе и1047-45.jpg> 330 нм. В р-цию вступают соед., алкильная цепь к-рых содержит более трех атомов С и атом Н у1047-46.jpgуглеродного атома. Если у последнего отсутствует атом Н, то наблюдается диспропорционирование с образованием спиртов и карбонильных соединений.

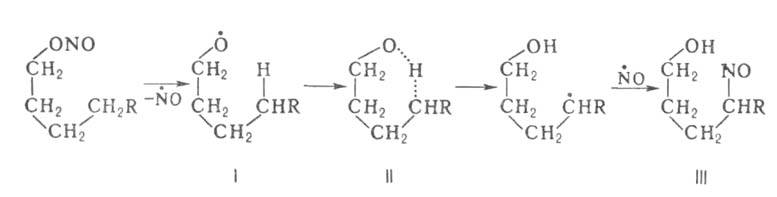
Бартона реакция протекает по свободнорадикальному механизму и включает стадию внутримолекулярной миграции атома Н в алкоксильном радикале (ф-ла I) через переходное состояние (II); нитрозосоединение III изомеризуется в оксим:
1047-47.jpg

Р-ция протекает гладко только в тех случаях, когда возможно образование 6-членного циклич. переходного состояния. Если у1047-48.jpgуглеродного атома в исходном нитрите нет второго атома Н, то образуется также димер нитрозосоединения.

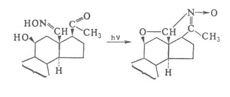
Бартона реакцию широко используется для введения функц. групп в неактивные участки молекул стероидов, в частности в метальные группы в положениях 18 и 19, напр.:
1047-49.jpg

Продукты Бартона реакции применяют как промежут. соед. в синтезе полициклич. нитронов, напр.:
1047-50.jpg

Р-ция открыта Д. Бартоном в 1960.

Лит: Введение в фотохимию органических соединений, под ред. Г.О. Беккера, пер. с нем., Л., 1976, с. 200-204; Общая органическая химия, пер. с англ., т. 3, М., 1982, с. 379, 443-44, 447, 484, 615. К. В. Вацуро.

Синонимы/примеры:* Реакция Бартона; Реакция фотохимического декарбоксилирования нитритов
*подобраны ИИ, возможны неточности