Буфотенин

БУФОТЕНИН [N,N-диметилсеротонин, 5-гидрокси-3-(2-диметиламиноэтил)индол], мол. м. 204; бесцв. кристаллы; т. пл. 146-147°С, т. кип. 320°С/0,1 мм рт.ст. (с разл.); хорошо раств. в метаноле, этаноле, умеренно - в ацетоне, плохо - в эфире, не раств. в воде.
1066-26.jpg

Индольный алкалоид. По хим. св-вам подобен серотонину. С к-тами образует соли, напр. оксалат (т. пл. 96,5°С). В спиртовом р-ре окисляется 30%-ной Н2О2 по диметиламиногруппе с образованием N-оксида. Дает цветные р-ции, характерные для индолов.

Буфотенин содержится в листьях Amanita mappa, семенах Piptadenia peregrina, грибах Amantia muscaria, в ядовитых кожных выделениях жаб Bufo vulgaris; обнаружен также в моче человека.

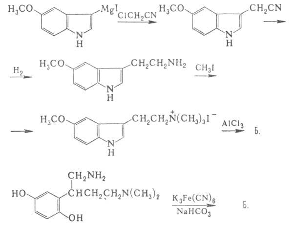
Получают буфотенин по схемам:
1066-27.jpg

Буфотенин и его производные обладают галюциногенным и парализующим действием, способствуют повышению кровяного давления.

Литература

Франке 3., Франц П., Варнке В., Химия отравляющих веществ, пер. с нем., т. 1-2, М., 1973; Encyclopedia of the alkaloids, ed. by I. Glasby, v. 1, N.Y-L., 1975, p. 217. Е.Г. Тер-Габриэлян.

Комментарии*

Дополнения к описанию буфотенина:

  • Фармакологическое действие: Является агонистом серотониновых рецепторов (в частности, 5-HT₂A), что объясняет его психоделические эффекты
  • Биологическая роль: Выступает нейромедиатором/нейромодулятором у некоторых животных
  • Токсикология: При передозировке вызывает тошноту, тахикардию, выраженные зрительные галлюцинации
  • Правовой статус: Во многих странах включен в список контролируемых веществ как психотропное соединение
  • Исторический аспект: Использовался в традиционных шаманских практиках коренных народов Южной Америки
*Подобраны с помощью LLM, верифицированы, но возможны неточности.
Синонимы/примеры:* Буфотенин; 5-гидрокси-N,N-диметилтриптамин; 5-HO-DMT; 5-гидроксидиметилтриптамин; N,N-диметил-5-гидрокситриптамин
*подобраны ИИ, возможны неточности