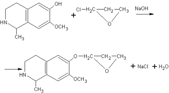
1-Метил-7-метокси-6-/(2,3-эпокси)-1-пропокси/-1,2,3,4-тетрагидроизохинолин

Предложили: Г.К.Айрапетян, Э.А.Маркарян
Проверили: Ж.С.Арустамян, Л.Ш.Пирджанов
Получение
В полулитровую четырехгорлую колбу, снабженную мешалкой, термометром, воздушным холодильником и капельной воронкой, помещают 28,9 г (0,15 моля) 6-гидрокси-1-метил-7-метокси-1,2,3,4-тетрагидроизохинолина (прим. 1) и 8,0 г (0,2 моля) едкого натра в 200 мл воды и энергично перемешивают до образования белой однородной массы. Затем при охлаждении ледяной водой из капельной воронки прибавляют 18,5 г (0,2 моля) эпихлоргидрина с такой скоростью, чтобы температура реакционной смеси не поднималась выше 16-18°. По окончании прибавления продолжают перемешивание реакционной смеси еще 2-3 ч (прим. 2). Выделившееся на дне колбы масло извлекают хлороформом (3х100 мл), хлороформенный экстрак промываю 50 мл воды, сушат безводным сернокислым натрием и растворитель отгоняют в вакууме водоструйного насоса. Выход продукта 27,0-30,0 г или 75,0-83,3% теоретического количества (прим. 3).
1-Метил-7-метокси-6-/(2,3-эпокси)-1-пропокси/-1,2,3,4-тетрагидроизохинолин. C14H19NO3, мол. вес 249,31 – светло-желтое маслообразное вещество, хорошо растворимое в хлороформе, метаноле, бензоле, хуже – в эфире, нерастворимо в воде.
Примечания
1.Сальсолин был выделен из природной смеси сальсолин-сальсолидин1.
2.В конце реакции смесь становится прозрачной
3.1-Метил-7-метокси-6-/2,3-эпокси)-1-пропокси/-1,2,3,4-тетрагидроизохинолин имеет т. кип. 175-178°/1 мм, однако при перегонке значительная его часть осмоляется. Rf 0,48 (на окиси алюминия второй степени активности, элюент бензол-ацетон, 2:1).
Другие способы получения
1-Метил-7-метокси-6-/(2,3-эпокси)-1-пропокси/-1,2,3,4-тетрагидроизохинолин получен только описанным выше способом
1.А.П.Орехов, Н.Ф.Проскурина, ЖОХ, 7, 1999 (1937)