Акустическая спектроскопия
АКУСТИЧЕСКАЯ СПЕКТРОСКОПИЯ, изучает распространение в в-ве звуковых волн малых амплитуд. В случае продольных волн частицы или малые элементы объема, содержащие не менее 104 молекул, колеблются вдоль направления распространения волны, в случае поперечных-в плоскости, перпендикулярной этому направлению. Продольные волны создают последовательно чередующиеся адиабатич. сжатия и разрежения среды, сопровождающиеся изменением т-ры и соответствующим смещением равновесия хим. р-ций. В областях сжатия и разрежения возникают небольшие локальные отклонения от термодинамич. равновесия, не приводящие (в случае звуковых колебаний малых амплитуд) к фазовым переходам. Среда стремится вернуться в состояние термодинамич. равновесия, т.е. возникают релаксац. процессы, к-рые приводят к поглощению энергии волн. Убывание амплитуды (избыточного давления
Р) плоской волны, распространяющейся вдоль направления х. описывается ур-нием:
Р(х) =
, где
Р0-начальная амплитуда,
-коэф. поглощения, зависящий от частоты v (v = 1/2
Т, где T-период волны).
Рис. 1. Дисперсия скорости звука.
При релаксации фазовая скорость С волны также зависит от v, т.е. наблюдается дисперсия скорости звука. Если Т намного меньше времени релаксации
звуковые колебания не успевают изменить состояние среды, и при v
С->
(см. рис. 1). При
(низкие частоты) термодинамич. равновесие среды в осн. успевает установиться и скорость звука будет меньше (v—>0, С—>С0). Наиб. изменение С наблюдается в т. наз. дисперсионной области при частоте релаксации vp = l/2
В методах акустической спектроскопии измеряют зависимости С и
от v (или
) с помощью акустич. спектрометров, обычно содержащих излучатель и приемник звуковых колебаний. Распространены приборы, позволяющие измерять С и
в жидкой среде в интервале v 104-109 Гц. Требующийся для измерений объем в-ва составляет (10C/v)3. относит. погрешность измерений С-10-1 - 10-3%,
-5-10%.
При проведении исследований сначала находят эксперим. зависимости С и
от v. Затем, исходя из той или иной модели релаксац. процесса, рассчитывают теоретич. зависимости и сравнивают их с экспериментальными. Наиб. часто релаксац. процесс описывают с помощью представлений об элементарных хим. р-циях. В терминах элементарных р-ций могут быть описаны любые резкие изменения состояния системы, приводящие к разрыву или образованию хим. связей, конформац. превращениям, поглощению или испусканию фононов или фотонов и т.д. В Наиб. простых случаях зависимости
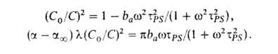
и С от со описываются ур-ниями:
Здесь
-время акустич. релаксации, обусловленное некрой р-цией, bа-релаксац. сила, соответствующая этой р-ции,
- "релаксирующая" часть коэффициента поглощения,
-длина волны, соответствующая круговой частоте
В кач-ве примера на рис. 2 представлена простая релаксац. полоса поглощения звука в акустич. спектре жидкого бензола. Ее максимум соответствует релаксац. частоте vp = = 1/2
PS; ордината максимума равна
bа/2; полуширина полосы v1/2 =
Рис. 2. Зависимость величины
от частоты звуковых колебаний в жидком бензоле при 20°С.
Если какая-либо из протекающих в среде р-ций сопровождается поглощением теплоты и (или) изменением объема системы, то bа > 0. Такие р-ции проявляются в акустич. спектре, по к-рому можно сделать выводы об их механизме. Время
связано с константами скорости р-ций и концентрациями реагентов, оно зависит от кинетики и механизма этих р-ций. В более общем случае в спектре наблюдается неск. релаксац. полос поглощения (на графиках зависимости С от v - неск. релаксац. ступенек). Время релаксации Vj характеризует положение i-той полосы поглощения на графиках
=f(v). Если соседние
различаются менее чем в 5 раз, то соответствующие им простые области дисперсии расшифровать трудно.
Большое значение имеют звуковые волны, возникающие в результате теплового движения в объеме и на пов-сти раздела фаз. Их можно изучать оптич. методами (по спектрам рэлеевского рассеяния света). Поверхностные звуковые волны влияют на механизм гетерог. р-ций.
Методами акустической спектроскопии исследуют св-ва и строение в-ва, кинетику быстрых р-ций, конформац. превращения, возбуждение и дезактивацию внутримол. колебаний в газах и жидкостях (в т.ч. в биологически активных средах). В твердых кристаллах исследуют образование и исчезновение дефектов.
Литература
Михайлов И. Г., Соловьев В. А., Сырников Ю. П., Основы молекулярной акустики, М., 1964; Физическая акустика, пер. с англ., т. 1-7, М., 1966-74; Методы исследования быстрых реакций, пер. с англ., М., 1977; Шах паройов М.И., Механизмы быстрых процессов в жидкостях, М., 1980; Поверхностные акустические волны, под ред. А. Олинера, пер. с англ., М., 1981. М. И. Шахпаронов.