Алкалоиды ипекакуаны

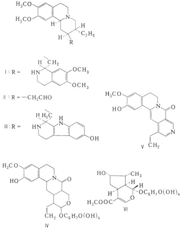
АЛКАЛОИДЫ ИПЕКАКУАНЫ, выделены из растений родов психотрия (в т.ч. из ипекакуаны-Psychotria ipecacuanha) и погонопус (Pogonopus) семейства мареновых, а также из растений рода алангиум (Alangium) семейства алангиевых и рода кассинопсис (Cassinopsis) семейства икациновых. Включают ок. 20 представителей. Содержат в молекуле остаток тетра-гидроизохинолина, с которым связан др. гетероцикл. Наиб. изучены эметин (ф-ла I) и протоэметин (II). Для перхлората последнего т. пл. 193-195°С,1015-12.jpg -11° (этанол). Известны также алкалоиды типа туболизина (III), гликоалкалоиды, напр. алангизид (IV) с т. разл. 187°С,1015-13.jpg-105° (метанол) и хинолизидиновые основания типа алангимарина (V; т. пл. 247°С). Биогенетич. предшественники алкалоидов типа V-соединения типа IV. Осуществлен полный синтез нек-рых алкалоидов ипекуаны. В природе они образуются, вероятно, из гераниола, логанина (VI) и глицина H2NCH2COOH.
1015-14.jpg

Литература

Openshaw Н. Т., в кн.: Chemistry of the alkaloids, N.Y., 1970, p. 85-115. M. С. Юнусов.

Комментарии*

Дополнения к описанию:

  • Ключевые свойства и механизмы действия:

    • Наиболее известным свойством этих алкалоидов, особенно эметина, является их способность вызывать сильную рвоту (рвотное действие) путем раздражения слизистой оболочки желудка и прямого воздействия на рвотный центр в головном мозге.
    • Эметин также обладает выраженным протистоцидным и амебоцидным действием, то есть убивает простейших паразитов, таких как Entamoeba histolytica, возбудитель амебной дизентерии.
  • Практическое применение и значимость:

    • Исторически сироп ипекакуаны (основным действующим началом которого является эметин) широко использовался как рвотное средство, особенно при острых пероральных отравлениях, чтобы эвакуировать содержимое желудка. Однако из-за риска серьезных побочных эффектов (кардиотоксичность, миотоксичность) его применение в этом качестве сейчас резко ограничено или запрещено во многих странах.
    • Эметин и его производные (например, дегидроэметин) применялись для лечения инвазивного амебиаза, хотя в современной практике их в значительной степени заменили менее токсичные препараты, такие как метронидазол.
    • В биохимических и клеточных исследованиях эметин используется как ингибитор синтеза белка, поскольку он блокирует трансляцию на рибосомах эукариот.
*Подобраны с помощью LLM, верифицированы, но возможны неточности.
Синонимы/примеры:* Эметин; Цефаэлин
*подобраны ИИ, возможны неточности