Кариофиллен

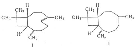
КАРИОФИЛЛЕН, мол. м. 204,36. Существует в виде двух изомеров. Собственно кариофиллен (ф-ла I) - бесцв. маслянистая
322_339-35.jpg
жидкость с острым древесным запахом; т. кип. 259-261 °С; d420 0,890-0,905; nD20 1,496-1,510; [a]D20 -9,5° и +9,4°; раств. в неполярных орг. р-рителях, не раств. в воде. Для изокариофиллена (II) [a]D20 -26,2° и +21,9°. Оба изомера содержатся во мн. эфирных маслах. Кариофиллен быстро окисляется на воздухе и при этом осмоляется. Очень легко, особенно под действием к-т, претерпевает превращ., связанные с перестройкой углеродного скелета. Получают как побочный продукт при выделении эвгенола из гвоздичного масла. Применяют при составлении парфюм. композиций, отдушек для мыла, косметич. изделий, а также в синтезе нек-рых производных, применяемых в качестве душистых в-в. ЛД50 5 г/кг (крысы, перорально). Л. А. Хейфиц.

Комментарии*

Дополнения к описанию кариофиллена:

  • Более точное определение: Кариофиллен относится к классу сесквитерпенов и является одним из наиболее распространенных сесквитерпенов в природе
  • Ключевые свойства:
    • β-кариофиллен является селективным агонистом каннабиноидных рецепторов CB2, что обуславливает его противовоспалительную активность
    • Обладает местноанестезирующим и антиоксидантным действием
  • Практическое применение:
    • Используется в ароматерапии благодаря седативным свойствам
    • Применяется в фармацевтике как противовоспалительное средство
    • Используется в пищевой промышленности как ароматизатор
  • Интересные факты:
    • Содержится в значительных количествах в черном перце, корице, гвоздике и конопле
    • Является одним из основных компонентов, определяющих аромат хмеля в пиве
*Подобраны с помощью LLM, верифицированы, но возможны неточности.
Синонимы/примеры:* β-кариофиллен; гуммиген; транс-кариофиллен
*подобраны ИИ, возможны неточности