Полиоксадиазолы
ПОЛИОКСАДИАЗОЛЫ, линейные полимеры, содержащие в основной цепи макромолекулы 1,2,4- или 1,3,4-оксадиа-зольные циклы (соотв. ф-лы I и II):

Вследствие высокой термостойкости наиб. интерес представляют поли-1,3,4-оксадиазолы, к-рые рассмотрены в этой статье.
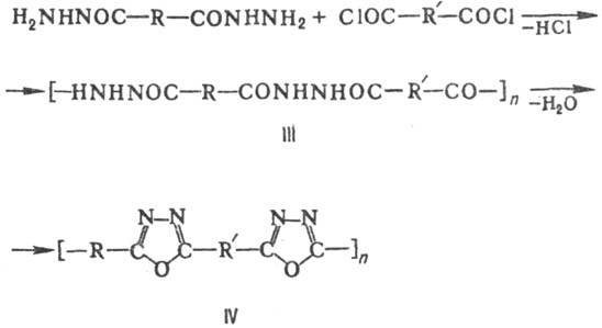
Осн. пром. способы их получения. 1) Полициклоконденсация дигидразидов и дихлорангидридов дикарбоновых к-т:

R,R'-Ar или Alk. Полигидразид(III), образующийся на первой стадии, на второй стадии (в нек-рых случаях в виде предварительно сформованных изделий) подвергают циклодегидратации преим. в вакууме при 280-300 °С (см. также Полициклизация), получая полиоксадиазол (IV).
2) Полициклоконденсация дигидразидов дикарбоновых к-т, а также самих дикарбоновых к-т или их производных с солями гидразина:

R-ароматич. или алициклич. радикал; R' = (СН2)4_10, аро-матич. или алициклич. радикал; X = СООН, CONH2, CN; Y = H2SO4, 2HC1, Н3РО4. Р-цию проводят в одну стадию в полифосфорной к-те или олеуме при 140-180 °С.
Большинство известных полиоксадиазолов-частично кристаллич. в-ва. Полиоксадиазолы на основе изо- и терефталевых к-т раств. только в конц. H2SO4 и не размягчаются вплоть до т-ры начала разложения (400-450 °С, по данным динамич. термогравиметрич. анализа). Полиоксадиазолы на основе дифенилоксид-4,4'-дикарбоновой к-ты в зависимости от способа синтеза м. б. аморфными (т. размягч. 240 °С; раств. в смеси м-, о- и и-крезолов и смеси тетрахлорэтана с фенолом в соотношении 3 :1 по массе) или частично кристаллическими (т. пл. 390 °С; раств. только в конц. H2SO4). Полиоксадиазолы на основе 4',4:-дифенилфталиддикарбо-новой к-ты (кардовые полиоксадиазолы) аморфны, т. размягч. 360-390°С (т-ра начала разложения 400 °С); раств. также в метиленхло-риде, N,N-диметилацетамиде, N-метилпирролидоне. Ароматические, в т.ч. кардовые, полиоксадиазолы характеризуются высокой хим. стойкостью.
Р-римость и термич. св-ва алифатических полиоксадиазолов сильно зависят от мол. массы, длины метиленовых цепочек между 1,3,4-оксадиазольными циклами и способа получения; так, т-ры размягчения их лежат в области 60-250 °С, все раств. в м-крезоле и муравьиной к-те.
Известны также элементоорганические полиоксадиазолы, содержащие Si, Р, карборановые или ферроценовые циклы.
Из р-ров ароматических полиоксадиазолов в олеуме формуют термостойкое волокно оксалон (см. Термостойкие волокна). Кардовый полиоксадиазол (ниплон-1)-пленкообразователь для лаков, из него изготовляют также разл. изделия. Кардовые полиоксадиазолы можно использовать для произ-ва стекло- и углетекстолитов, прессмате-риалов, полупроницаемых мембран, пленок и защитных лакокрасочных покрытий, длительно эксплуатируемых при 200-300 °С и в агрессивных средах.
Лит.: Ли Г., Стоффи Д., Невилл К., Новые линейные полимеры, пер. с англ., М., 1972; Виноградова С. В., Выгодский Я. С., "Успехи химии", 1973, т. 42, в. 7, с. 1225-64; Бюллер К.-У., Тепло- и термостойкие полимеры, пер. с нем., М., 1984. Д. Р. Тур.