Сольватохромия
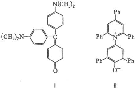
СОЛЬВАТОХРОМИЯ (от лат. solvo-растворяю и греч. chroma-цвет, окраска), изменение спектра поглощения соединений при изменении сольватирующей способности р-рителя. Различают 2 вида взаимод. соединений с р-рите-лями: неспецифическое (универсальное), обусловленное в осн. взаимод. диполей молекул растворенного в-ва и р-рителя, и специфическое, напр. благодаря межмол. водородным связям (см. Сольватация). Если при возбуждении светом молекулы к.-л. соед. равновесие между ее неполярной и полярной формами смещается в сторону последней (как для красителя ф-лы I), то увеличение полярности р-рителя приводит к батохромному сдвигу длинноволновой полосы поглощения (в область длинных волн) и углублению окраски (положительная сольватохромия). Если основное состояние молекулы растворенного в-ва более полярно, чем возбужденное (напр., II), наблюдается гипсохромный сдвиг (в область коротких волн) и повышение окраски (отрицательная сольватохромия).

На изменения в спектрах, объясняемые сольватохромией, часто накладываются дополнит. эффекты, обусловленные сдвигом таутомерных равновесий (напр., при азохинонгидразонной таутомерии) или образованием солей (в среде р-рителей типа пиридина или СН3СООН) (см. Цветность органических соединении).
Совр. теория сольватохромии рассматривает взаимод. молекулы растворенного в-ва, обладающей определенными дипольным моментом и поляризуемостью, с р-рителем как сплошным бесструктурным диэлектриком, характеризуемым статич. диэлектрич. проницаемостью и показателем преломления. Теоретич. ур-ния позволяют получать информацию о св-вах молекул в электронно-возбужденных состояниях, но обычно "е могут предсказывать величины сдвигов полос поглощения. Для этой цели применяют эмпирич. ур-ния, базирующиеся на известных сдвигах для нек-рых соед., принятых в качестве модельных. В связи с тем, что разл. соед. по-разному взаимод. с р-рителями, универсальной шкалы сольватирующей способности р-рителей не существует. Наиб. перспективны полипараметрич. ур-ния, напр. ур-ние Камлета - Тафта:
v = v0 + sp* + аa + bb,
где v и v° - частоты, соответствующие максимуму поглощения в р-рителе и в циклогексане соотв.; p*, a, b-т. наз. сольватохромные параметры, значения к-рых определены для большого числа р-рителей; s, а, b —сольватохромные коэф., связанные со строением соед. и характеризующие его чувствительность к сольватохромным параметрам р-рителей. Значения p* характеризуют способность к неспецифич. сольватации, a-способность протонодонорного р-рителя к образованию водородных связей с протоноакцепторными соед., b-способность протоноакцепторного р-рителя к образованию водородных связей с протонодонорными соединениями. Впервые понятие сольватохромии введено А. Ганчем (1922).
Лит.: Киприанов А. И., "Успехи химии", 1960, т. 29, в. 11, с. 1336-52; Бахшиев Н. Г., Спектроскопия межмолекулярных взаимодействий. Л., 1972; KaroletM. J., Abboud I. М., Tuft R. W., "Progr. Phys. Org. Chem.", 1981, v. 13, p. 485-630. В.Я.Файн.