Тропеолины
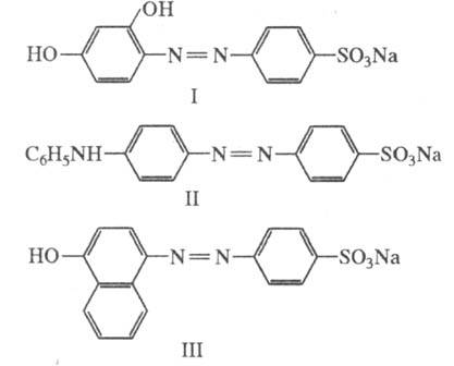
ТРОПЕОЛИНЫ, моноазокрасители, применяемые в качестве хим. индикаторов. Получаются диазотированием сульфани-ловой к-ты и послед, азосочетанием продукта с резорцином (тропеолин 0; ф-ла I), дифениламином (тропеолин 00; II) или
-нафтолом (тропеолин 000; III). Хим. св-ва тропеолинов аналогичны св-вам др. азокрасите-лей (см. также Азосоединения).

Тропеолин 0 [натриевая соль 4-(2,4-дигидроксифенилазо)бензолсуль-фокислоты, резорционовый желтый, хризоин], мол. м. 316,27, красные кристаллы, раств. в воде, плохо - в этаноле. Соответствующая к-та - красно-оранжевые кристаллы, не раств. в воде и диэтиловом эфире, раств. в этаноле; pКа 11,8. Тропеолин 0 применяют как кислотно-основной индикатор в виде 0,1%-ного водного р-ра (переход окраски от желтой к оранжево-коричневой при рН 11,1-12,7), а также для фотометрич. определения Pd и для окрашивания биол. препаратов при микроскопич. исследованиях.
Tропеолин 00 [натриевая соль 4-(4-анилинофенилазо)бензолсуль-фокислоты, дифениламиновый оранжевый, оранж IV, прочный желтый, анилиновый желтый, кислотный оранжевый 5], мол. м. 375,38, оранжево-коричневые кристаллы, раств. в воде и этаноле; для соответствующей к-ты pКа 2,0. Tропеолин 00 взаимод. с HNO2 с образованием N-нитрозамина, к-рый при нагр. с разб. HNO3 дает смесь моно-, ди- и тринитропроизводных. Tропеолин 00 применяют обычно в виде 1%-ного водного р-ра или 0,04%-ного р-ра в 50%-ном этаноле как кислотно-основной индикатор (переход окраски от красной к желтой при рН 1,3-3,2), в т.ч. при титровании в неводных средах, а также как адсорбц. индикатор при аргентометрич. определении Cl: (переход окраски от желтой к розовой). Tропеолин 00 - реагент для обнаружения и фотометрич. определения Zn и Mg.
Tропеолин 000 [натриевая соль 4-(4-гидрокси-1-нафтилазо)бензол-сульфокислоты, оранжевый I, a-нафтоловый оранжевый], мол. м. 350,33, красновато-бурые кристаллы, раств. в воде, плохо - в этаноле. Соответствующая к-та - желтые кристаллы, плохо раств. в воде, хорошо - в этаноле; pКа 8,2. Tропеолин 000 применяют в виде 0,1 или 1,0%-ного водного р-ра как кислотно-основной индикатор; переход окраски от желто-зеленой к розовой при рН 7,4—8,9.