Тиосульфаты органические
ТИОСУЛЬФАТЫ ОРГАНИЧЕСКИЕ, соли и эфиры орга-нилтиосерных к-т общей ф-лы RSSO2X, где R-Alk, Аr; Х-ОМ (М-металл), OR'.
Названия тиосульфатов органических образуются из названия орг. радикала и суффикса "тиосульфат" с указанием атома, с к-рым связан орг. радикал, напр. СН3SSО2ОС2Н5-S-металэтилтиосуль-фат, С6Н5SSО2ОКа-S-фенилтиосульфат натрия.
Наио. практич. значение имеют S-алкил- и S-арилтио-сульфаты щелочных металлов (соли Бунте)-твердые кри-сталлич. в-ва, хорошо раств. в воде.
Хим. св-ва тиосульфатов органических обусловлены легкостью расщепления связи S—S под действием нуклеоф. и электроф. реагентов. Гидролиз тиосульфатов органических, катализируемый к-тами,-удобный препаративный метод синтеза тиолов, при щелочном гидролизе образуются диалкилдисульфиды, напр.:

Р-ция тиосульфатов органических с тиолатами-метод синтеза несимметричных дисульфидов, напр.:
CH3SSO2ONa + NaSC6H5 : CH3SSC6H5 + Na2SO3
При окислении тиосульфатов органических в зависимости от окислителя м.б. получены алкансульфокислоты, алкансульфонилгалогениды или диалкилдисульфиды, напр.:

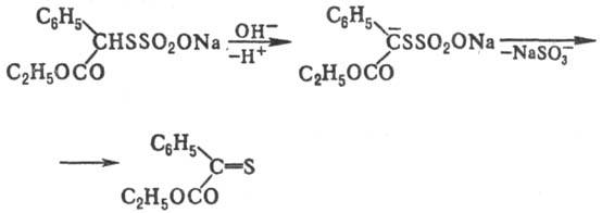
Нек-рые тиосульфаты органические, содержащие в орг. радикале a-H-атом, под действием оснований образуют тиокарбонильные соед., напр.:

Общий метод получения солей Бунте-взаимод. алкил-галогенидов, диалкилсульфатов или алкиларилсульфонатов с тиосульфатами щелочных металлов в эквимолярном соотношении в водно-орг. среде (напр., в 50%-ном водном этаноле):
AlkX + Na2S2O3 : AlkSSO2ONa + NaX X = Hal, OSO2OAlk, OSO2Ar
Соли Бунте получают также присоединением тиосуль-фатов щелочных металлов к активир. алкенам или хинонам в присут. к-т, напр.:

Соли Бунте, как правило, не выделяют, а используют без очистки для дальнейших превращений.
Арилтиосульфаты получают р-циями диарилдисульфидов с гидросульфитом калия:
2ArSSAr + 6КНSО3 : 4ArSSO2OK + K2S2O3 + 3Н2О
Алкил(арил)тиосерные к-ты получают при взаимод. тиолов с SО3 или его комплексами с орг. основаниями, либо с хлорсульфоновой к-той, напр.:
СН3SН + SО3 : СН3SSО2ОН С6Н5SН + SO3 · C5H5N : C6H5SSO2OH · C5H5N

Применяют тиосульфаты органические в осн. в орг. синтезе в качестве полупродуктов для получения орг. соед. серы.
Лит.: Джильберт Э. Э., Сульфирование органических соединений, пер. с англ., М., 1969. А. Ф. Ермолов.