Ангидриды неорганических кислот

АНГИДРИДЫ НЕОРГАНИЧЕСКИХ КИСЛОТ, оксиды, при взаимод. к-рых с водой образуются к-ты, напр.: SO3 + Н2О -> H2SO4. Оксиды, дающие при р-ции с водой две к-ты (напр., 2NO2 + Н2О -> HNO3 + HNO2), рассматривают как ангидриды обеих к-т. Назв. ангидридов производят от назв. соответствующих к-т, напр. SO2 - сернистый, N2O5 - азотный ангидрид. Однако термин "ангидрид" выходит из употребления; для обозначения ангидридов используют номенклатуру, принятую для любых оксидов элементов.

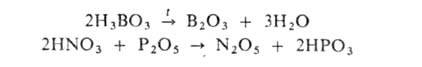
Ангидриды - твердые в-ва (В2О3, Р2О5 и др.), жидкости (SO3, Мn2О7 и др.) или газы (С12О, SO2 и др.). Многие из них мож-

но получить дегидратацией соответствующих к-т при нагр. или действии сильных поглотителей влаги, напр.:
1030-19.jpg

Ангидриды-весьма реакционноспособные соединения. С водой обычно реагируют быстро. Интенсивно взаимод. с основными оксидами и основаниями с образованием солей. Многие ангидриды (СrO3, Мn2О7, С12О и др.)-сильные окислители. Ряд ангидридов имеет важное практич. значение. См., напр., Азота оксиды, Бора оксиды, Фосфора оксиды, Хлора оксиды. С. И. Дракин.

Комментарии*

Дополнения:

  • Механизм образования: Многие ангидриды образуются при дегидратации кислот, например, серный ангидрид (SO₃) получают из серной кислоты (H₂SO₄).
  • Классификация: Их можно классифицировать по типу кислот, которые они образуют (например, ангидриды кислородсодержащих кислот).
  • Примеры важных ангидридов:
    • SO₂ (сернистый газ) - ангидрид сернистой кислоты (H₂SO₃), важный промышленный реагент и загрязнитель.
    • P₂O₅ (оксид фосфора(V)) - мощный осушитель, используется для получения концентрированной фосфорной кислоты.
    • CO₂ (диоксид углерода) - формально является ангидридом угольной кислоты (H₂CO₃).
  • Реакционная способность: Некоторые ангидриды (например, SO₃) энергично реагируют с органическими соединениями, вызывая сульфирование.
*Подобраны с помощью LLM, верифицированы, но возможны неточности.
Синонимы/примеры:* Оксиды неметаллов; кислотные оксиды
*подобраны ИИ, возможны неточности