Роданистоводородная кислота
Роданистоводородная кислота Н—S—C≡N гораздо устойчивее циановой кислоты. В виде водного раствора она может быть получена обработкой роданистого калия разбавленной серной кислотой.
Безводную роданистоводородную кислоту можно получать перегонкой в вакууме роданистого калия с бисульфатом калия в токе водорода.
Небольшие количества роданистоводородной кислоты или ее солей находятся в слюне; ее присутствие было обнаружено в желудочном соке, в моче и во многих органах животных. Довольно значительные количества свободной роданистоводородной кислоты находятся в свежем соке лука Allium соера.
Безводный мономерный роданистый водород представляет собой газообразное вещество, затвердевающее при охлаждении жидким воздухом в белую кристаллическую массу, плавящуюся при —110° С. При —90° С роданистый водород, полимеризуясь, снова затвердевает. Устойчивый при этой температуре тример — родануровая кислота (HSCN)3 — окрашен в желтый цвет. Выше 0° полимеризация идет дальше с образованием красных и темно-бурых твердых веществ. В водных растворах роданистоводородная кислота более устойчива. Она является сильной кислотой, приближающейся по силе к соляной кислоте. Устойчивость этих растворов зависит от их концентрации.
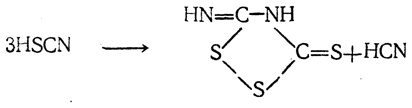
Достаточно устойчивы 5%-ные и более разбавленные растворы. Концентрированные растворы распадаются на холоду с образованием HCN и гетероциклического соединения, так называемого ксантанового водорода (3-имино-5-тион-1,2,4-дитиоазолидон):

Нагревание водных растворов HSCN с концентрированной серной кислотой приводит к более глубокому распаду роданистоводородной кислоты, вплоть до выделения свободной серы.
При действии сухого хлора на сухой роданистый калий получаются продукты состава (CNS)х, которые при действии щелочей дают окрашенное в желтый цвет вещество состава C8H6O8S7 — канарин, ранее применявшийся как краситель.