Гиббереллины
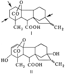
Гиббереллины, ростовые вещества растений. Известно 27 гиббереллинов; все они принадлежат к тетрациклическим дитерпеноидам и являются карбоновыми кислотами. Основной структурной единицей гиббереллинов считается гиббереллин ГК9 (I); остальные гиббереллины рассматриваются как его производные. Гиббереллины неустойчивы и быстро разрушаются в кислой или щелочной среде. Наибольшей биологической активностью чаще обладает гибберелловая кислота (ГК3), отличающаяся от ГК9 наличием гидроксилов у углеродов (отмечены стрелками) и двойной связью (II): молярная масса 346.39, tпл 233—235 °C.

Гиббереллины открыты японским учёным Е. Куросава (1926) при исследовании болезни риса (чрезмерном его росте), вызываемой грибом Gibberella fujikuroi Sow. В 1935 японский учёный Т. Ябута выделил гиббереллины из этого гриба в кристаллическом виде и дал им существующее название. У высших растений наиболее богаты гиббереллинами быстрорастущие ткани; они содержатся в незрелых семенах и плодах, проростках, развёртывающихся семядолях и листьях. Гиббереллины — компоненты системы, регулирующей рост растений. Гиббереллины ускоряют деление клеток в зоне, непосредственно примыкающей к верхушке стебля, и рост в фазе растяжения. Гиббереллины стимулируют рост (главным образом стеблей и черешков) сильнее ауксинов; при некоторых условиях они могут ускорять рост листьев, цветков и плодов. Гиббереллины стимулируют развитие растений, зависящее от температуры и фотопериода (см. Фотопериодизм), а в определённых условиях — цветение и завязывание плодов. Свет способствует образованию гиббереллинов в растении. Отсутствие или избыток гиббереллинов определяют некоторые патологические симптомы — карликовость или чрезмерный рост.
Гиббереллины применяют в практике растениеводства для повышения выхода волокна конопли и льна, для увеличения размеров ягод у бессемейных сортов винограда, ускорения плодоношения томатов, для повышения урожайности трав, стимуляции прорастания семян (обработка гиббереллинами нарушает состояние покоя тканей и оказывает стратифицирующее действие на семена — см. Стратификация семян; при естественном выходе семян из состояния покоя содержание эндогенных гиббереллинов повышается) и др. Так как гиббереллины вызывают резкое ускорение роста зелёной массы растений, применение их должно сопровождаться усилением питания растений. Гиббереллины получают главным образом микробиологическим способом из продуктов жизнедеятельности грибов рода Fusarium.
Лит.: Гиббереллины и их действие на растения, М., 1963; Леопольд А., Рост и развитие растений, М., 1968; Биохимия растений, пер. с англ., М., 1968.
А. Г. Верещагин.