Глицидилметакрилат

ГЛИЦИДИЛМЕТАКРИЛАТ (оксиранилметиловый эфир 2-метил-2-пропеновой к-ты; 2,3-эпоксипропилметакрилат) мол. м. 142,16; бесцв. жидкость; т. пл.-65°С, т. кип. 41,5°С/1 мм рт. ст., 93,5°С/20мм рт. ст.; d420 1,076, nD20 1,4505;1115-29.jpg 2,75 мПа*с (20°С);1115-30.jpg35,3 мН/м; р-римость в воде 2,57% по массе (25 °С).
1115-28.jpg

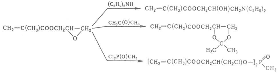
Хим. св-ва глицидилметакрилата обусловлены наличием двойной связи и реакционноспособной эпоксидной группы. Взаимодействием глицидилметакрилата с первичными и вторичными аминами, фенолами, кетонами, карбоновыми к-тами, алкилдихлорфосфатами, дихлорангидридом метилфосфоновой к-ты, сульфитами щелочных металлов или др. соед. получают метакрилаты, содержащие функц. группы в алкоксирадикале, напр.:
1115-31.jpg

Глицидилметакрилат полимеризуется и сополимеризуется по двойной связи, напр. с виниловыми мономерами, а также с раскрытием эпоксидного кольца. Полимеры глицидилметакрилата способны к дальнейшим хим. превращениям.

В пром-сти глицидилметакрилат получают взаимод. метакрилата К или Na с избытком эпихлоргидрина (кат.-четвертичные аммониевые соли) или каталитич. переэтерификацией метилметакрилата глицидолом:
1115-32.jpg

Он м. б. получен также дегидрохлорированием 3-хлор-2-гидроксипропилметакрилата. Глицидилметакрилат-модифицирующий мономер в произ-ве полимеров (напр., полиолефинов, полидиенов, полистирола, полиакрилатов).

Литература

Синтез и применение глицидилметакрилата. Тематич. обзор, М., 1979 (Серия: "Промышленность синтетического каучука"). М. А. Коршунов, В. С. Михлин.

Синонимы/примеры:* 2,3-эпоксипропилметакрилат; ГМА
*подобраны ИИ, возможны неточности