Депсипептиды
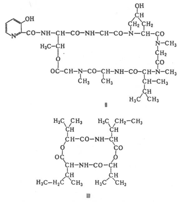
ДЕПСИПЕПТИДЫ, пептиды, содержащие в молекуле наряду с амидными одну или неск. сложноэфирных групп. Общая особенность большинства прир. депсипептидов - наличие в их молекулах гетерокомпонент - фрагментов, не являющихся остатками a-аминокислот. Хим. и физ. св-ва депсипептидов сходны со св-вами др. пептидов. Депсипептиды хорошо раств. в эфире, СНСl3, диоксане, CH3CN, плохо - в воде. Прир. депсипептиды вырабатываются гл. обр. бактериями и обладают антибиотич. активностью. Их классификация основана на наименовании продуцента, а не на хим. природе. Циклич. депсипептиды, содержащие в качестве гетерокомпоненты остатки гидроксиаминокислот, меркаптоаминокислот или гетероциклич. карбоновых к-т, наз. пептидолактонами. К ним относят, напр., S-пептиды цистеина, О-пептиды треонина и серина (ф-ла I), антибиотики актиномицины, этамицин (II), микамицины А и В и др. (см. Макролиды, Пептидные антибиотики). Их гетерокомпоненты - хромофорсодержащие карбоновые к-ты, напр. 3-гидроксипиколиновая к-та. Депсипептиды, содержащие в качестве гетерокомпоненты остатки гидроксикислот, наз. пептолидами. К ним относятся антибиотики валиномицин, энниантины А, В и С, анголид (III) и др.
Антибиотич. активность циклич. депсипептидов объясняется способностью связывать в р-рах катионы щелочных и щел.-зем. металлов таким образом, что последние оказываются включенными во внутр. полость молекулы и удерживаются там вследствие взаимод. с полярными амидными и сложноэфирными группами.
Образующиеся комплексы способны переносить катионы через клеточные мембраны. Это св-во депсипептидов обусловило их широкое применение при изучении ионной проницаемости биол. мембран. Депсипептиды применяют также в аналит. химии - для экстракц. и хроматографич. разделения ионов металлов и солюбилизации труднорастворимых солей; в орг. химии - для воздействия на направление, скорость и стереоспецифичность нуклеоф. р-ций; в технике - для создания высокоселективных катион-чувствительных датчиков и разл. ионообменных материалов.
Литература
Химия антибиотиков, 3 изд., М., 1961; Шредер Э., Любке К., Пептиды, пер. с англ., т. 2, М., 1969; Овчинников Ю. А., Иванов В.Т., Шкроб A.M., Мембраноактивные комплексоны, М., 1974. П. В. Костецкий.
Ещё по теме
Природные пептиды и их роль в организме
Пептиды — строение, свойства и биологическое значение
Пиперидолы — структура и применение
Фосфодиэстеразы — строение, функции и роль в организме
Пептидные антибиотики — виды, свойства и применение
Цереброзиды — структура и функции
Полидезоксирибонуклеотид-синтетазы и их роль в синтезе ДНК
Дексетимид — особенности применения и действия препарата
Дикетопиперазины — свойства и реакции
Нуклеотиды — строение, свойства и роль в биохимии
Нуклеозиды — строение, свойства и применение