Пиперидолы
ПИПЕРИДОЛЫ (гидроксипиперидины), производные пиперидина общей ф-лы C5H10_nNH(OH)n. Наиб. значение имеют моногидроксипроизводные ф-лы I; среди трех возможных изомеров выделены только 3-пиперидол, или b-пиперидол, и 4-пиперидол, или g-пиперидол,-светло-желтые кристаллы; для 3-пиперидола т. пл. 61-65сС, для 4-пиперидола-т. пл. 860C, т. кип. 136°С/32 мм рт. ст. Пиперидолы и их замещенные раств. в большинстве орг. р-ри-телей и воде.

Пиперидолы обладают св-вами пиперидина и спиртов. При бромировании превращаются в бромзамещенные пиперидина, из к-рых далее м. б. получены их метоксильные производные:

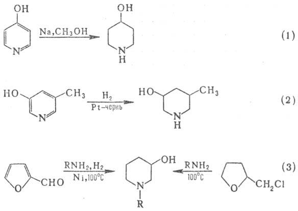
Осн. методы синтеза пиперидолов и их замещенных: восстановление Na в спирте или гидрирование в присут. Pt-черни гидроксиль-ных производных пиридина (р-ции 1 и 2); взаимод. с NH3 или аминами нек-рых производных фурана (3); синтез 4-пиперидола из дивинилкетона (по Назарову, р-ция 4):


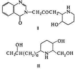
Пиперидолы -структурные фрагменты алкалоидов нек-рых растений [напр., алкалоид фебрифугин (II) выделен из дихроа противомалярийной (Dichroa febrifuga), алкалоид прозопин (III)-из прозописа африканского (Prosopis africana)], а также мн. лек. ср-в, обладающих противолихорадочными, анальге-зирующими (напр., промедол), нейролептич. св-вами (напр., галоперидол, дроперидол; см. Нейролептические средства).

Лит.: Гетероциклические соединения, под ред. P. Эльдерфилда, пер. с англ., т. 1, M., 1953, с. 494-96, 519; Назаров И. H., Простаков H. С, Швецов H. И., "Ж. общ. химии", 1956, т. 26, № 10, с. 2798-2811; Рубцов M. В., Байчиков А. Г., Синтетические химико-фармацевтические препараты. Справочник, M., 1971. Л. H. Яхонтов.