Диаминодиоксиантрахинoны
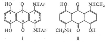
ДИАМИНОДИОКСИАНТРАХИНOНЫ (диаминодигидроксиантрахиноны). Наиб. практич. значение имеют 1,5-диамино-4,8-дигидрокси-, 1,8-диамино-4,5-дигидрокси- и 1,4-диамино-5,8-дигидроксиантрахиноны (соотв. диаминоантраруфин, диаминохризазин и диаминохинизарин) - кристаллы от фиолетового до синего цвета (мол. м. 270,24), а также N, N'-диарилзамещенные 1,4-диамино-5,8-дигидроксиантрахинона (ф-ла I) - темно-зеленые кристаллы. Диаминодиоксиантрахиноны не раств. в воде, умеренно раств. в разбавленных р-рах щелочей (с углублением окраски), раств. в пиридине, нитробензоле, конц. H2SO4.
При бромировании диаминоантраруфина в H2SO4 одним эквивалентом Вr2 получают смесь монобромзамещенных -синий дисперсный краситель; метилированием диметилсульфатом-1,5-диметиламино-4,8-дигидроксиантрахинон (II), также применяемый как синий дисперсный краситель. Диаминохризазин метилируется метанолом в р-ре H2SO4 с образованием 1,8-диметиламино-4,5-дигидроксиантрахинона - темно-синего дисперсного красителя для полиэфиров. 1.4-Ди-n-толуидино- и 1,4-ди-n-бутиланилино-5,8-дигидроксиантрахиноны при сульфировании слабым олеумом (20 °С) образуют дисульфокислоты (III), Na-соли к-рых -желто-зеленые кислотные красители. 1,5-Диамино-4,8-дигидрокси- и 1,8-диамино-4,5-дигидроксиантрахиноны при нагр. с 20%-ной НСl образуют 1,4,5,8-тетрагидроксиантрахинон, а при кипячении с Na2S2O4 в щелочном р-ре - 1,4,5,8-тетрагидроксиантрацен (лейкотетрагидроксиантрахинон, IV) - промежут. продукт в синтезе дисперсных красителей.
В пром-сти 1,5-диамино-4,8-дигидроксиантрахинон получают восстановлением 1,5-динитро-4,8-дигидроксиантрахинона действием NaHS или восстановительным десульфированием 1,5-диамино-4,8-дигидроксиантрахинон-2,6-дисульфокислоты Na2S2O4 и содой. Аналогичными способами синтезируют 1,8-диамино-4,5-дигидроксиантрахинон. 1,4-Диамино-5,8-дигидроксиантрахинон и его N,N'-диарил(диалкил)замещенные получают аммонолизом 1,4-дигидрокси-5,8-дихлорантрахинона в присут. соединений Сu и соды при 120-140 °С или взаимод. лейкотетрагидроксиантрахинона с амином при той же т-ре в присут. Н3ВО3 с послед. окислением лейкосоединения воздухом. N, N'-Диалкилзамещенные 1,4-диамино-5,8-дигидроксиантрахинона, напр. 1,4-бис-(b-гидроксиэтиламино)-5,8-дигидроксиантрахинон - сине-зеленые дисперсные красители.
Литература
Ворожцов Н. Н., Основы синтеза промежуточных продуктов и красителей, 4 изд., М., 1955; Горелик М. В., Химия антрахинонов и их производных, М., 1983. С. И. Попов.
Синонимы/примеры:*
1,4-Диаминоантрахинон; 1,4-Диамино-9,10-антрахинон; 1,4-Диамино-9,10-антрацендион
*подобраны ИИ, возможны неточности
Ещё по теме
Диаминоантрахиноны — свойства и токсическое действие
1,4-диамино-2-метоксиантрахинон — свойства и токсичность
Синтез 2,4-диамино-6-оксипиримидина
Диамины — строение и свойства
Диазоаминосоединения — особенности и применение
Оксиантрахиноны — свойства и применение