Сульфированные высшие жирные кислоты
СУЛЬФИРОВАННЫЕ ВЫСШИЕ ЖИРНЫЕ КИСЛОТЫ, техн. продукты взаимод. высших жирных к-т, их эфиров, а также растит. масел и животных жиров с сульфирующими агентами (H2SO4, HSO3C1, SO3, олеум и др.); анионные ПАВ. В зависимости от хим. строения реагирующих в-в и условий сульфирования основу этих продуктов составляют сульфат- или сульфопроизводные карбоновых и гид-рокеикарбоновых к-т.
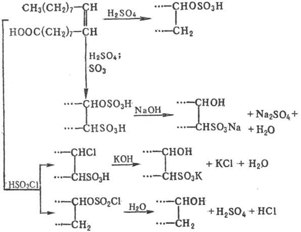
Ненасыщ. жирные к-ты, напр. олеиновая, при взаимод. с сульфирующими агентами образуют сульфоэфиры и др. сульфосоед. по схеме:

Насыщ. жирные к-ты, взаимодействуя с SO3 при невысоких т-pax, образуют a-сульфокислоты CnH2n+1CH(SO3H)COOH, где n
6; мононатриевые соли таких к-т при нагр. до 250 °С превращ. в алкансулъфонаты CnH2n+1CH2SO3Na.
В пром-сти применяют нейтрализов. продукты сульфирования техн. растит. масел, в меньшей степени-животных жиров и ненасыщ. жирных к-т. Наиб. распространены продукты на основе касторового масла, содержащего 80-94% глицерида рицинолевой к-ты. Обработкой масла H2SO4 при 30-35°С получают ализариновое масло; действием алкилсульфата с послед. обработкой образовавшегося алкилрицинолеата H2SO4 и нейтрализацией кислого суль-фоэфира аммиаком-сульфорицинаты общей ф-лы: СН3(CH2)5CH(QS03NH4)CH2CH=CH(CH2)7COOR (при R = СН3, С4Н9 или изо-С4Н9, соотв. сульфорицинат М, Б или ИБ). Практич. значение имеют также сульфоэфиры на основе олеиновой к-ты и алкилолеатов (см. Авироль) и нек-рых др. видов жирового сырья с высоким содержанием непредельных жирных к-т. Выпускают в виде жидкостей и паст, содержащих обычно 35-65% осн. в-ва.
Сульфированные высшие жирные кислоты -текстильно-вспомогат. в-ва разл. назначения, смачиватели при крашении волокон (особенно хлопчатобумажных), жировании кож и шкур после дубления, эмульгаторы, диспергаторы, компоненты бытовых и техн. моющих ср-в.
Лит.: Неволин Ф. В., Химия и технология синтетических моющих средств, 2 изд., М., 1971, с. 61-64; Поверхностно-активные вещества. Справочник, под ред. А. А. Абрамзона и Г.М. Гаевого, Л., 1979, с. 278-79. Л. А. Шиц.