(+)-Тубокурарин
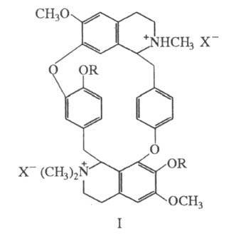
(+)-ТУБОКУРАРИН (ф-ла I; R = H, X - анион), изохиноли-новый алкалоид, содержащийся в хондодендроне войлочном (Chondodendron tomentosum) семейства мениспермовых (Menispermaceae). Впервые выделен в 1897 как действующее начало яда кураре. (+)-Тубокураринхлорид (в ф-ле IX = Cl), мол. м. 645,19, бесцв. кристаллы, т.пл. 274-275 0C (с разл.),
265° (в воде); хорошо раств. в воде. Получен иодид диме-тилтубокурарина (R= CH3, X = I), т. пл. 267 0C (с разл.).
(+)-Тубокураринхлорид блокирует преим. холинореактив-ные системы скелетной мускулатуры. Малые дозы вызывают временное расслабление (релаксацию) скелетной мускулатуры.
При потреблении больших доз происходит остановка дыхания. (+)-Тубокурарин применяют в анестезиологии в качестве миорелаксанта, вызывающего расслабление мускулатуры во время операции. Иодид диметилтубокурарина используют так же, однако он обладает более длит. действием. (+)-Тубокурарин имеет разл. товарные назв.: амелизол, курадетенсин, курарин, дела-курарин и др.

Разработаны методы определения (+)-тубокурарина в сырье и биол. объектах с помощью тонкослойной и высокоэффективной жидкостной хроматографии, спектрофотометрии, люминес-центного анализа.
Лит.: Машковский М.Д., Лекарственные средства, ч. 1, M., 1993, с. 287; Shamma M., The isoquinoline alkaloids, N. Y.- L., 1972, p. 122-23.
M. В. Тележене икая.
Дополнения к описанию (+)-Тубокурарина: