Бензоилацетон

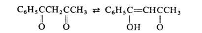
БЕНЗОИЛАЦЕТОН (1-фенил-1,3-бутандион, ацетилбензоилметан), мол. м. 162,19; бесцв. кристаллы с резким запахом: т. пл. 61 °C т. кип. 261-262°С 134-136°С/16 мм рт.ст.; d490,5 1.044, nD77,8 1,5678;1051-16.jpg39,1*10-3 Н/м (69°С);1051-17.jpg 83,88 кДж/моль (26,5°С); рКа 8,72 (вода; енольная форма). Раств. в спирте, хлороформе, бензоле, диэтиловом эфире, трудно - в воде. В твердом состоянии и парах существует в виде енола (99%), в расплавленном медленно переходит в дикетон:
1051-18.jpg

С1051-19.jpgметилфенилгидразином в среде эфира при 20°С бензоилацетон превращ. в монометилфенилгидразон (т. пл. 78-79°С), с ионами металлов образует внутрикомплексные соединения, напр.:
1051-20.jpg

Атом Н метиленовой группы бензоилацетона замещается на Na и затем полученное соед. легко бензоилируется с образованием ацетилдибензоилметана:
1051-21.jpg

Под действием Н2 в присут. Си при 350 °С из бензоилацетона образуется ацетофенон и ацетальдегид, в присут. Ni при 200 °С - бутилбензол. Бензоилацетон хлорируется на холоду в среде хлороформа до 1-хлор-1-бензоилацетона, нитруется смесью HNO3 и H2SO4 при — 10°С до 3-нитробензоилацетона.

В пром-сти бензоилацетон получают конденсацией ацетофенона с этилацетатом в присут. C2H5ONa при 85-100°С; выход 50%. Лаб. метод синтеза: пропускание BF3 через смесь ацетофенона с уксусным ангидридом при охлаждении льдом; выход 83%. Цветная р-ция: красное окрашивание с РеС13. Бензоилацетон - душистое в-во в парфюмерии; реагент для концентрирования, экстракционного и хроматографич. разделения и экстракционно-фотометрич. определения Mo(VI), Fe(III), Со (III), Mn(III) и др.; пределы обнаружения 0,01 МКГ/МЛ-0,01МГ/МЛ. Н.Н.Артамонова.

Синонимы/примеры:* Бензоилметилкетон; 1-фенил-1,3-бутандион; фенилизопропенилкетон
*подобраны ИИ, возможны неточности