Бензопирены

БЕНЗОПИРЕНЫ, мол. м. 252,32. Существует в виде двух изомеров -1,2-бензопирена и 4,5-бензопирена (ф-лы соотв. I и И).
1052-50.jpg

1,2-Бензопирен (3,4-бензпирен) - светло-желтые кристаллы. Из смеси бензол -метанол кристаллизуется форма с т. пл. 175-176,5 °С и плотн. 1,351 г/см3, из амилацетата - с т. пл. 179,5-180,5°С и плотн. 1,282 г/см3. 1,2-Бензопирен раств. в орг. р-рителях, водном р-ре метанола, с водой образует коллоидные р-ры. Дает стабильные комплексы (1:1 и 1:2) с серебром. Гидрируется в присут. РtO2 в 4,5-дигидро-1,2-бензопирен и 1',2',9',10'-тетрагидро1,2-бензопирен. Окисляется хромовой к-той до 1,2-бензопирен-3,8-диона (т. пл. 295 °С) и 3,4-бензопирен-5,8-диона (т. пл. 245 °С). Ацилируется уксусным ангидридом в присут. А1С13 в 8-ацетил-1,2-бензопирен. Электроф. замещение идет в положение 3.

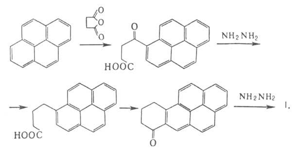
1,2-Бензопирен препаративно получают из пирена по схеме:
1052-51.jpg

1,2-Бензопирен содержится в кам.-уг. смоле, в почве; образуется при пиролизе стирола, ацетилена, тетралина, фе-нилбутилнафталина; 1,2-бензопирен и его производные присутствуют в табачном дыме, воздухе больших городов. Его экстрагируют из высококипящих фракций кам.-уг. смолы.

Цветные р-ции на 1,2-бензопирен: красный осадок при взаимод. с 4-нитрофенилдиазонийхлоридом; оранжево-красное окрашивание с зеленой флуоресценцией при действии с H,SO4; образование красных кристаллов с пикриновой к-той (т. пл. 197-198 °С).

1,2-Бензопирен - один из наиб. сильных канцерогенов. Обладает значит. эстрогенной активностью; в опытах на мышах попадание спиртового р-ра на кожу вызывает развитие опухоли в течение 90-100 сут, внутримышечная инъекция - быстрое развитие саркомы.

4,5-Бензопирен - светло-желтые кристаллы; т. пл. 178-179°С (пикрата-229-230 °С); раств. в орг. р-рителях. Содержится в кам.-уг. смоле, откуда его выделяют экстракцией, а также в почве. Образуется при высокотемпературном пиролизе ацетилена. Препаративно получается взаимод. 9,10-дигидроантрацена с акролеином в присут. HF при 3-20°С с послед. дегидрированием при перегонке над Hg:
1052-52.jpg

Канцерогенными св-вами 4,5-бензопирен не обладает.

Литература

Клар Э., Полициклические углеводороды, пер. с англ., т. 1-2, М., 1971. Н. Б. Карпова.

Синонимы/примеры:* 3,4-бензпирен; 3,4-бензопирен; бензо[a]пирен
*подобраны ИИ, возможны неточности