Виттига реакция

ВИТТИГА РЕАКЦИЯ, получение олефинов действием илидов Р (алкилиденфосфоранов) на альдегиды или кетоны. Илиды обычно используют в свежеприготовленном виде. Получают их взаимод. трифенилалкилфосфония с литийорг. соед. или гексаалкилтриамидоалкилфосфония со щелочами.

Механизм Виттига реакции можно представить след. образом:
1076-5.jpg

Обычно образуется смесь изомерных олефинов. Однако при соответствующем подборе реагентов и условий р-ции (напр., при использовании полярных апротонных р-рителей) возможен синтез преим. одного из изомеров (цис- или транс-изомера).

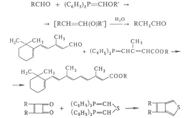
Виттига реакцию широко используют в тонком орг. синтезе, напр. для получения альдегидов, содержащих на один атом С больше, чем в исходном соед., а также полиенов, гетероциклич. соед.:
1076-6.jpg

Р-ция открыта Г. Виттигом в 1954.

Литература

Джонсон А., Химия илидов, пер. с англ., М., 1969; Общая органическая химия, пер. с англ., т. 5, М., 1983, с. 114-24. Э.Е. Нифантьев.

Комментарии*

Дополнения к описанию реакции Виттига:

  • Механизм реакции включает нуклеофильную атаку карбанионного центра илида фосфора на карбонильный углерод с образованием бетаина, который циклизуется в оксафосфетан. Последующий распад оксафосфетана приводит к образованию олефина и оксида трифенилфосфина.
  • Ключевое преимущество: Реакция позволяет получать алкены с точно заданным положением двойной связи, что невозможно при многих других методах синтеза олефинов.
  • Модификации реакции:
    • Реакция Виттига-Хорнера (использование фосфонатов вместо фосфониевых солей) дает преимущественно транс-алкены.
    • Реакция Виттига-Шлёссера позволяет получать терминально замещенные алкены.
  • Значимость: Реакция Виттига стала одним из важнейших методов синтеза в органической химии, за что Георг Виттиг был удостоен Нобелевской премии по химии в 1979 году.
  • Области применения: Широко используется в синтезе витамина A, каротиноидов, стероидов, природных соединений и фармацевтических препаратов.
*Подобраны с помощью LLM, верифицированы, но возможны неточности.
Синонимы/примеры:* Олефинирование по Виттигу; Реакция Виттига
*подобраны ИИ, возможны неточности